2022海南艺术高考一分一段表(美术、声乐、器乐...)-ag亚洲游戏国际平台
更新:2025-5-19 10:50:50我要纠错

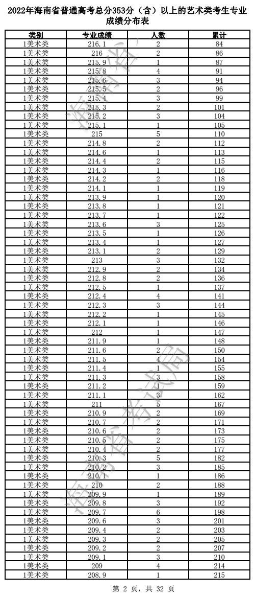
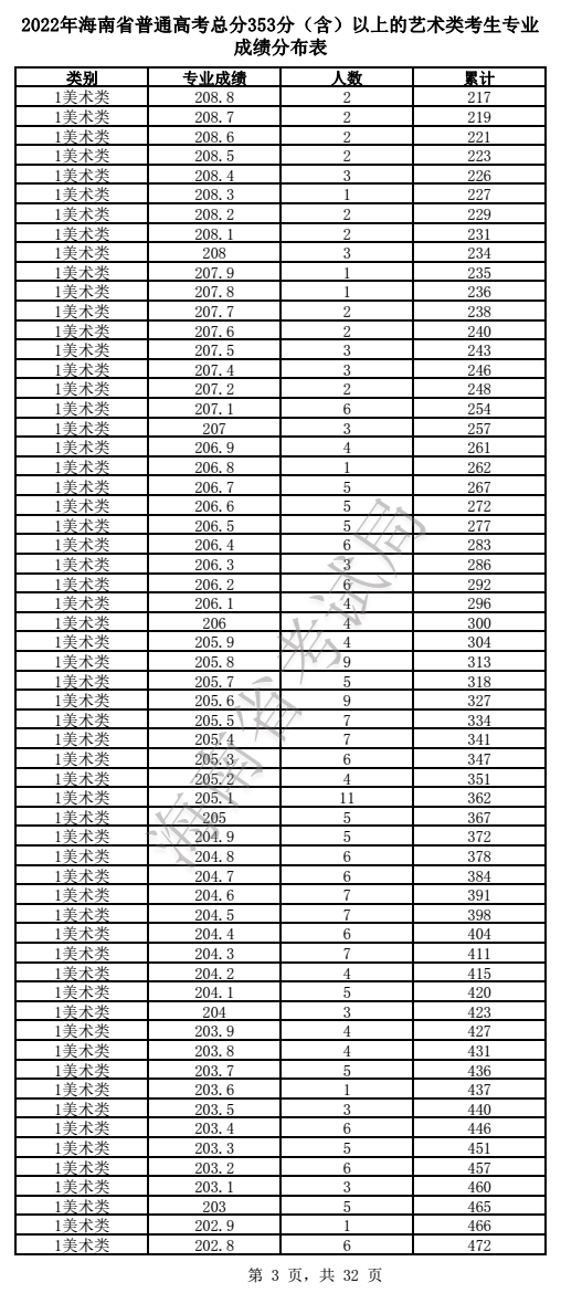
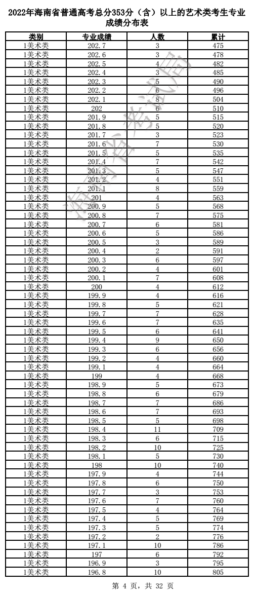
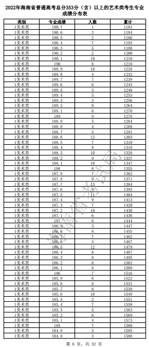
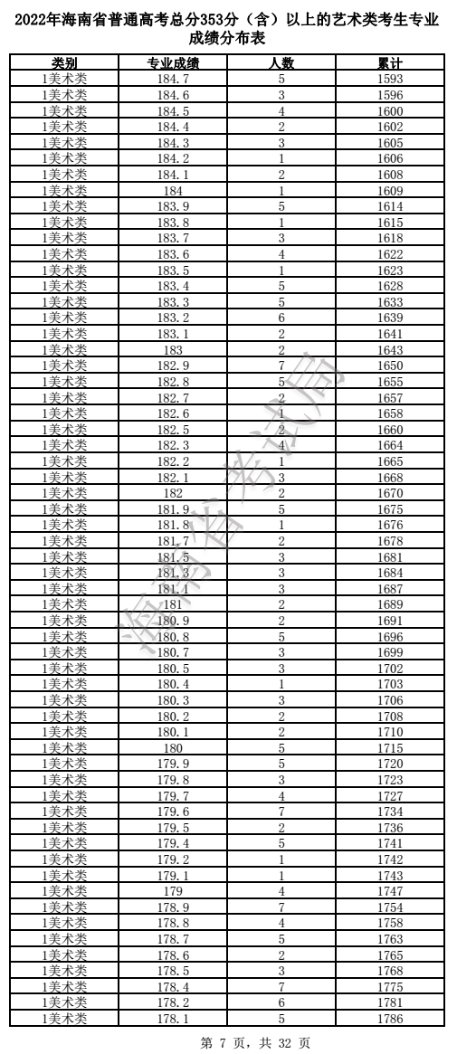
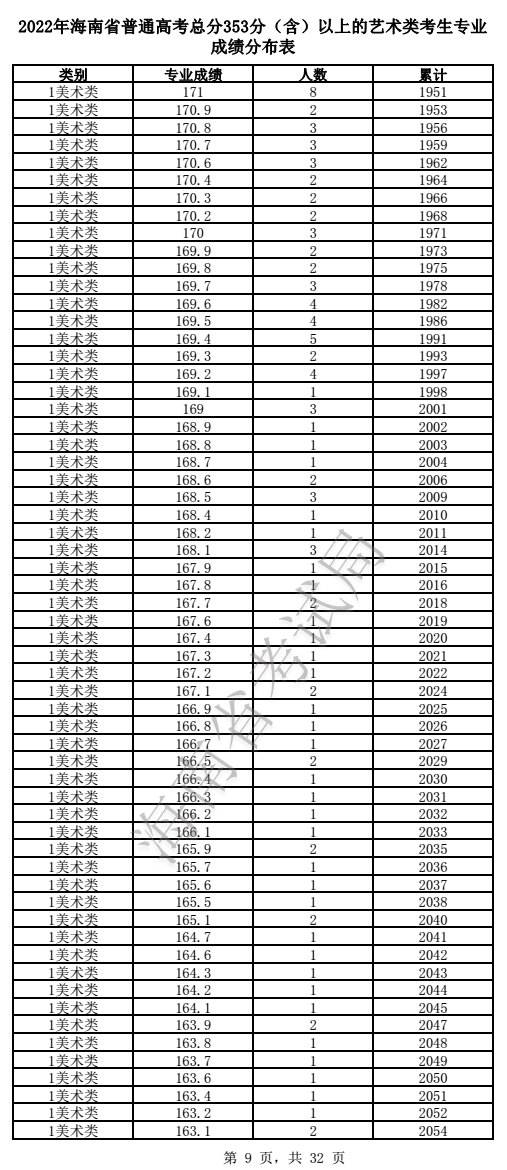
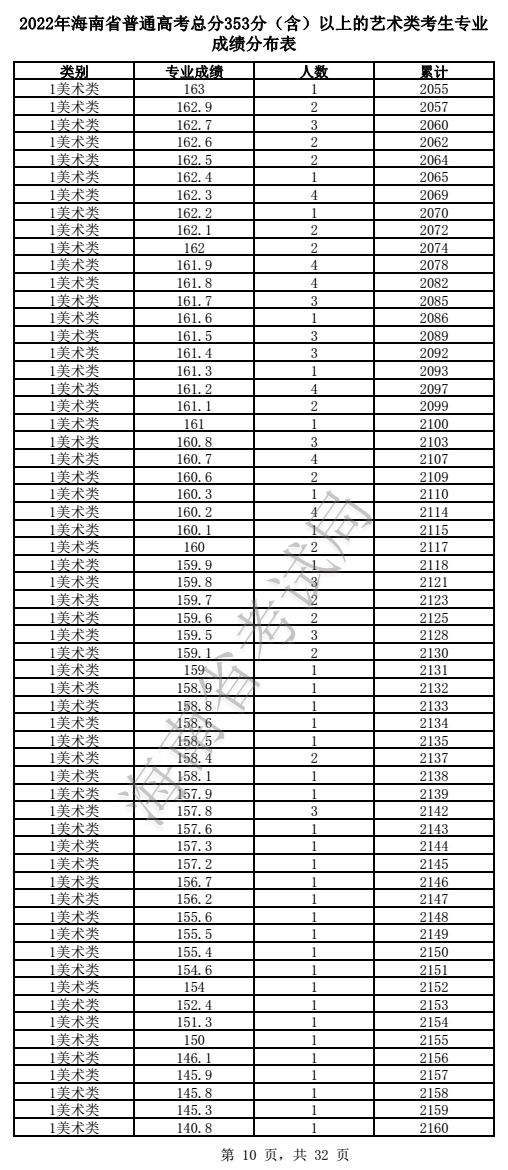
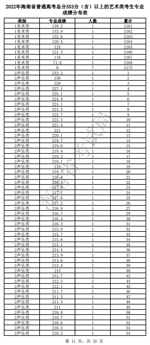
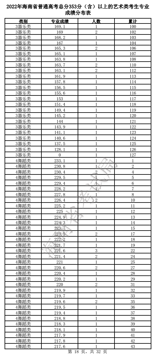
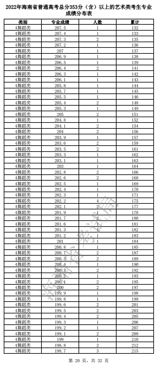
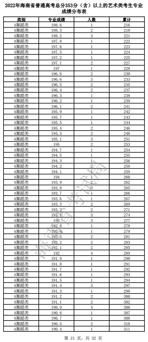
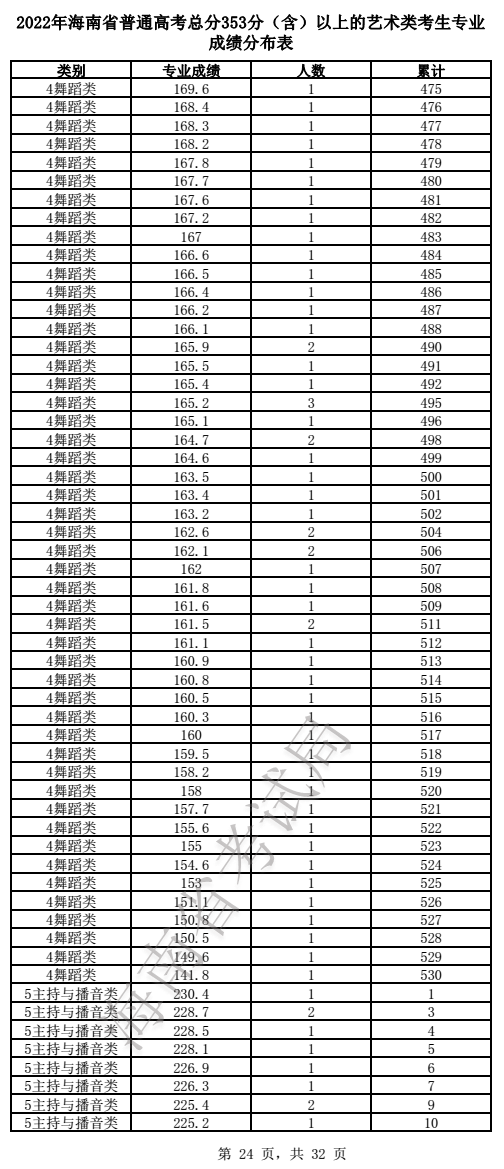
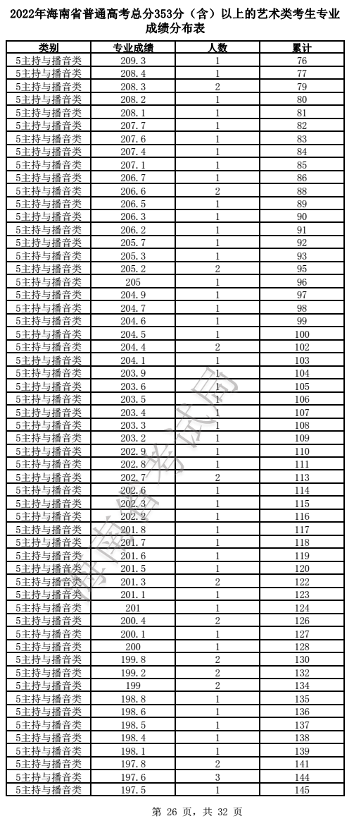
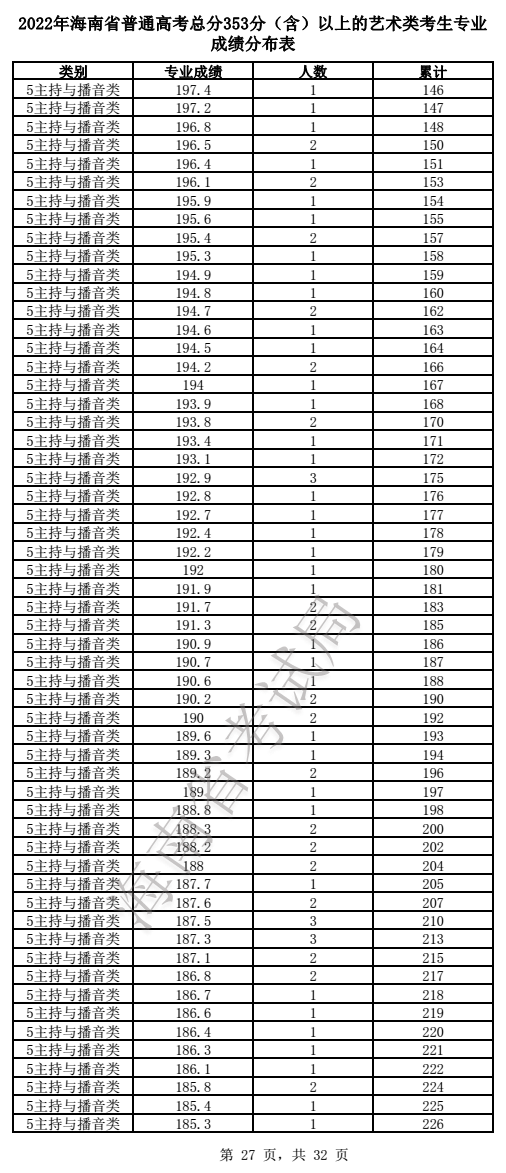
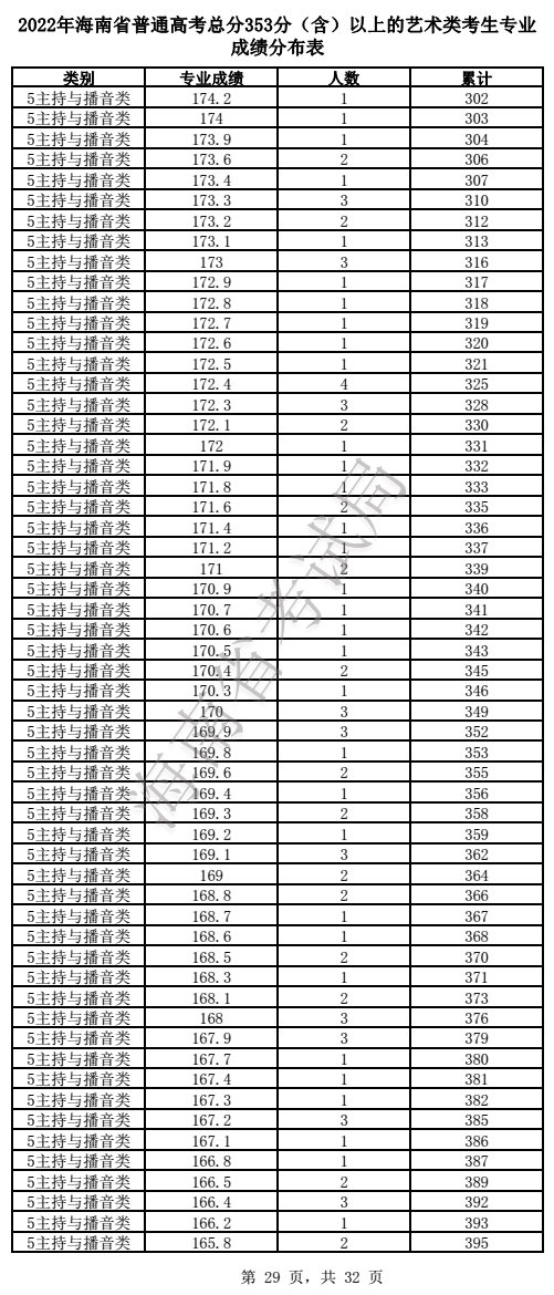
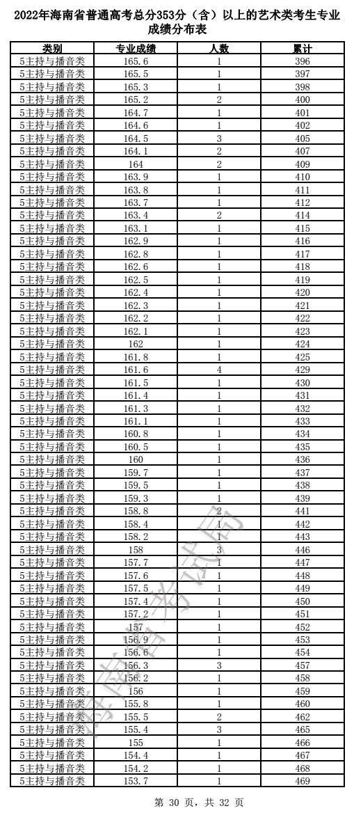
2022海南艺术ag亚洲游戏国际平台一分一段表已经公布,以下是美术、声乐、器乐、舞蹈、主持与播音、书法类高考一分一段表,包含专业课和文化课,供大家参考。
































2022年海南省普通高考艺术类考生文化成绩分布表:
标签:海南艺术高考一分一段表

2022海南艺术ag亚洲游戏国际平台一分一段表已经公布,以下是美术、声乐、器乐、舞蹈、主持与播音、书法类高考一分一段表,包含专业课和文化课,供大家参考。
































2022年海南省普通高考艺术类考生文化成绩分布表:

2025-5-19

2025-5-19

2025-5-19

2025-5-19

2025-5-19

2025-5-19

2025-5-19

2025-5-19

2025-5-19

2025-5-19