ag亚洲游戏国际平台
菜单
ag亚洲游戏国际平台
>
海南高考
>
艺术高考
>
高考位次
不限
高考政策
高考报名
高考时间
成绩查询
高考分数
一分一段
投档分数
志愿填报
大学名单
大学排名
985/211
双 一 流
双高计划
艺术高考
不限
统考报名
专业考试
专业查分
专业分数
高考分数
高考位次
投档分数
2023海南艺术高考一分一段表-ag亚洲游戏国际平台
更新:2025-5-19 12:47:52
我要纠错
2023
海南
艺术
ag亚洲游戏国际平台
一分一段表
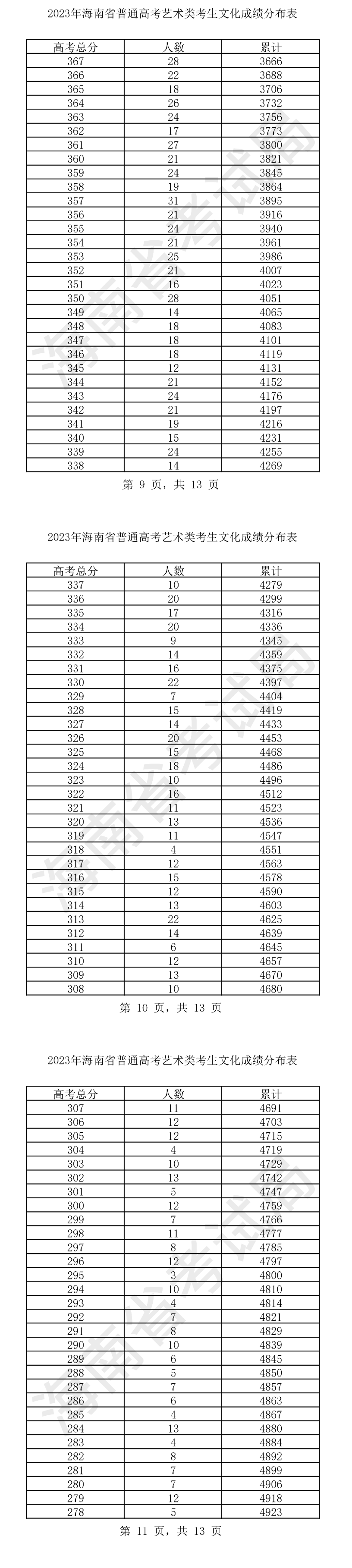
已经公布,以下是艺术类文化成绩一分一段表,供大家参考。
标签:
海南艺术高考一分一段表
相关推荐
2022海南艺术高考一分一段表(美术、声乐、器乐...)
2025-5-19
2021海南艺术高考一分一段表(美术、音乐、舞蹈类...)
2025-5-19
2024海南艺术高考一分一段表(美术与设计类、音乐类、舞蹈类...)
2025-5-19
热门推荐
更多
2023海南艺术高考一分一段表
2025-5-19
2024海南美术高考一分一段表(含2022-2023历年)
2025-5-19
2022海南艺术高考一分一段表(美术、声乐、器乐...)
2025-5-19
2021海南艺术高考一分一段表(美术、音乐、舞蹈类...)
2025-5-19
2024海南舞蹈高考一分一段表(含2022-2023历年)
2025-5-19
2024海南音乐高考一分一段表(含2022-2023历年)
2025-5-19
2024海南表(导)演高考一分一段表
2025-5-19
2024海南书法高考一分一段表(含2022-2023历年)
2025-5-19
2024海南播音与主持高考一分一段表(含2022-2023历年)
2025-5-19
2024海南舞蹈高考一分一段表(含2022-2023历年)
2025-5-19
网站地图