2024海南舞蹈高考一分一段表(含2022-ag亚洲游戏国际平台
更新:2025-5-19 15:39:21我要纠错

本文为大家整理的是海南2022-2024历年舞蹈ag亚洲游戏国际平台一分一段表,希望对大家有所帮助。
1、2024年海南省普通高考舞蹈类考生成绩分布表




2024年海南省普通高校招生本科录取后自由可投状态艺术类考生综合成绩分布表:h
2、2023年海南省普通高考舞蹈类考生成绩分布表
2023年海南省普通高考艺术类考生文化成绩分布表:
2023年海南省普通高考总分362(含)以上的艺术类考生专业成绩分布表:
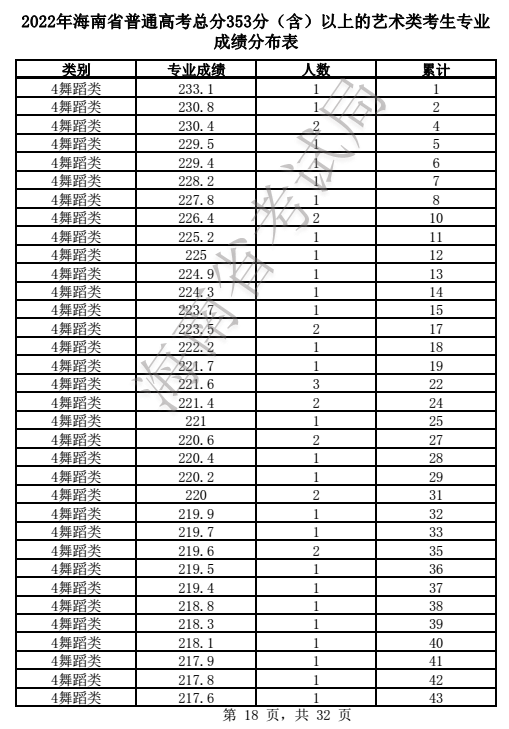
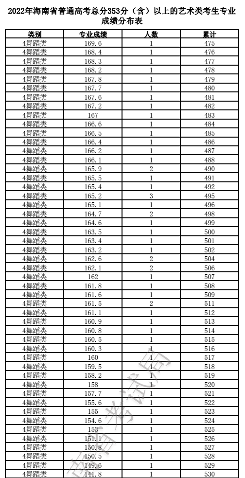
3、2022年海南省普通高考舞蹈类考生成绩分布表







2022年海南省普通高考艺术类考生文化成绩分布表:
标签:海南舞蹈高考










