2025广东高考一分一段表(物理类)-ag亚洲游戏国际平台
更新:2025-6-27 9:20:58我要纠错

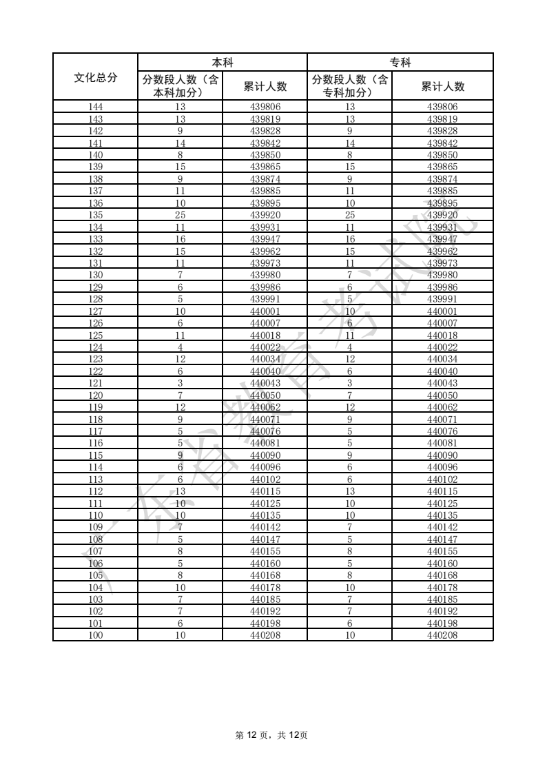
2025年广东ag亚洲游戏国际平台一分一段表已经公布,其中物理类600分及以上有26988人。一分一段表是考生成绩统计表,通过一分一段表我们可以查看自己的高考位次排名,然后根据位次来选择自己能上的大学和专业。以下是广东2025年高考物理类一分一段表,供大家参考。
广东省2025普通类(物理)分数段统计表(含本、专科层次加分)












标签:

2025年广东ag亚洲游戏国际平台一分一段表已经公布,其中物理类600分及以上有26988人。一分一段表是考生成绩统计表,通过一分一段表我们可以查看自己的高考位次排名,然后根据位次来选择自己能上的大学和专业。以下是广东2025年高考物理类一分一段表,供大家参考。













2025-6-26

2025-5-18

2025-5-18

2025-5-19

2025-5-18

2025-5-19

2025-5-18

2025-5-19

2025-5-18

2025-5-19

2025-5-19

2025-5-19