2023广东高考一分一段表(历史)-ag亚洲游戏国际平台
更新:2025-5-19 12:58:59我要纠错

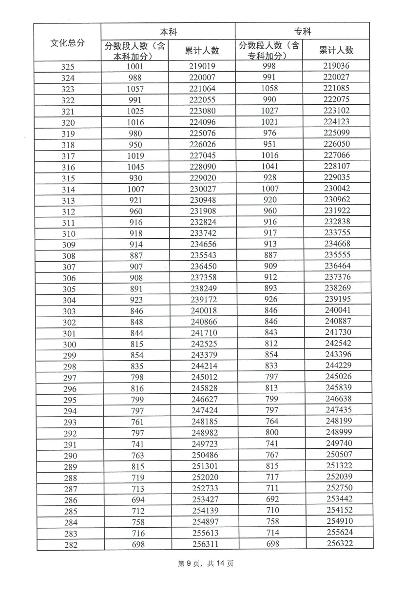
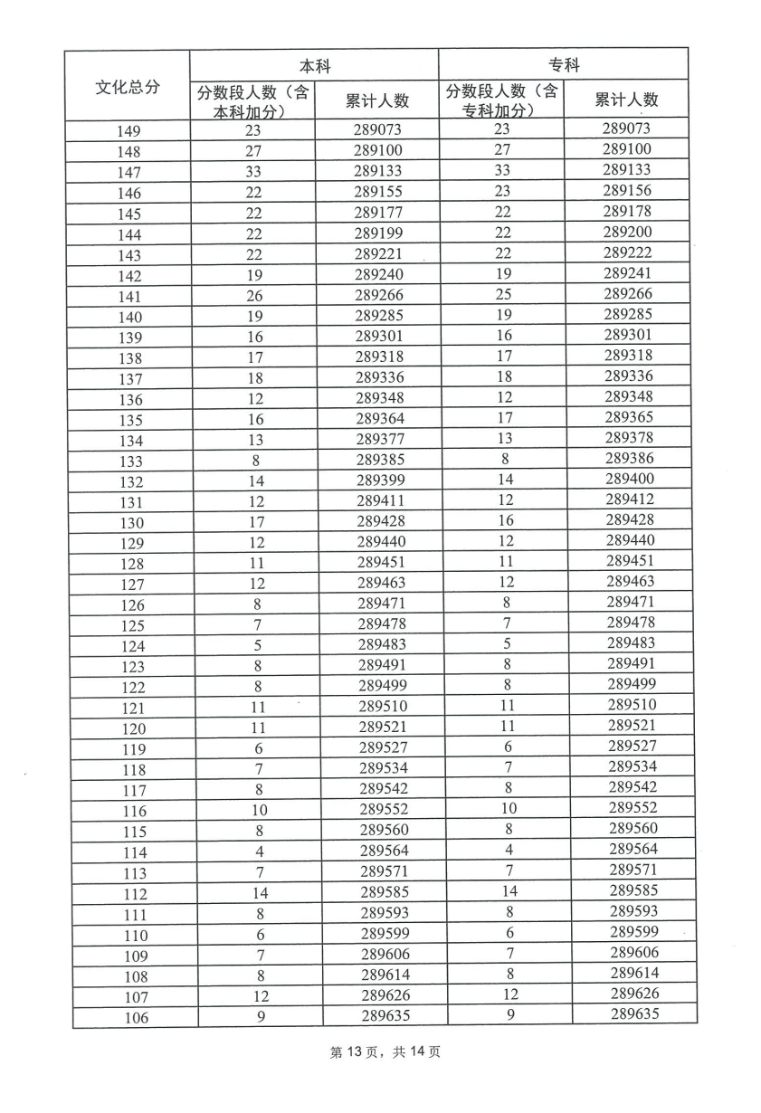
2023年广东ag亚洲游戏国际平台一分一段表已经公布,一分一段表是考生成绩统计表,通过一分一段表我们可以查看自己的高考位次排名,然后根据位次来选择自己能上的大学和专业。以下是历史一分一段表,供大家参考。














标签:

2023年广东ag亚洲游戏国际平台一分一段表已经公布,一分一段表是考生成绩统计表,通过一分一段表我们可以查看自己的高考位次排名,然后根据位次来选择自己能上的大学和专业。以下是历史一分一段表,供大家参考。















2025-5-19

2025-5-18

2025-5-18

2025-5-19

2025-5-18

2025-5-19

2025-5-18

2025-5-18

2025-5-19

2025-5-19

2025-5-19

2025-5-19