2025广东美术高考一分一段表(含2023-ag亚洲游戏国际平台
更新:2025-6-27 9:27:01我要纠错

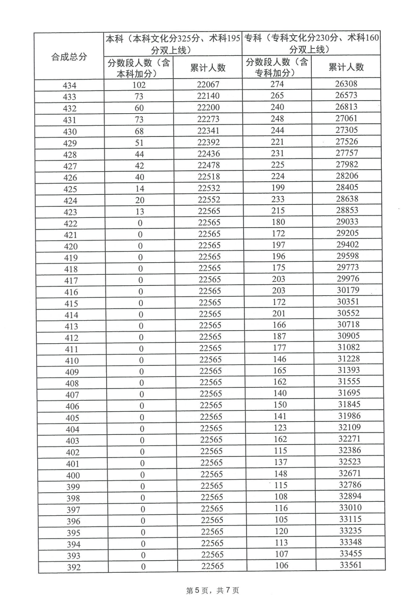
本文为大家整理的是广东2023-2025历年美术ag亚洲游戏国际平台一分一段表,包含本科和专科,希望对大家有所帮助。
1、2025年广东省普通高校美术类专业高考一分一段表







2、2024年广东省普通高校美术类专业高考一分一段表


3、2023年广东省普通高校美术类专业高考一分一段表







标签:

本文为大家整理的是广东2023-2025历年美术ag亚洲游戏国际平台一分一段表,包含本科和专科,希望对大家有所帮助。















