2018年广东本科投档分数线(文科)-ag亚洲游戏国际平台
更新:2025-5-19 8:36:47我要纠错

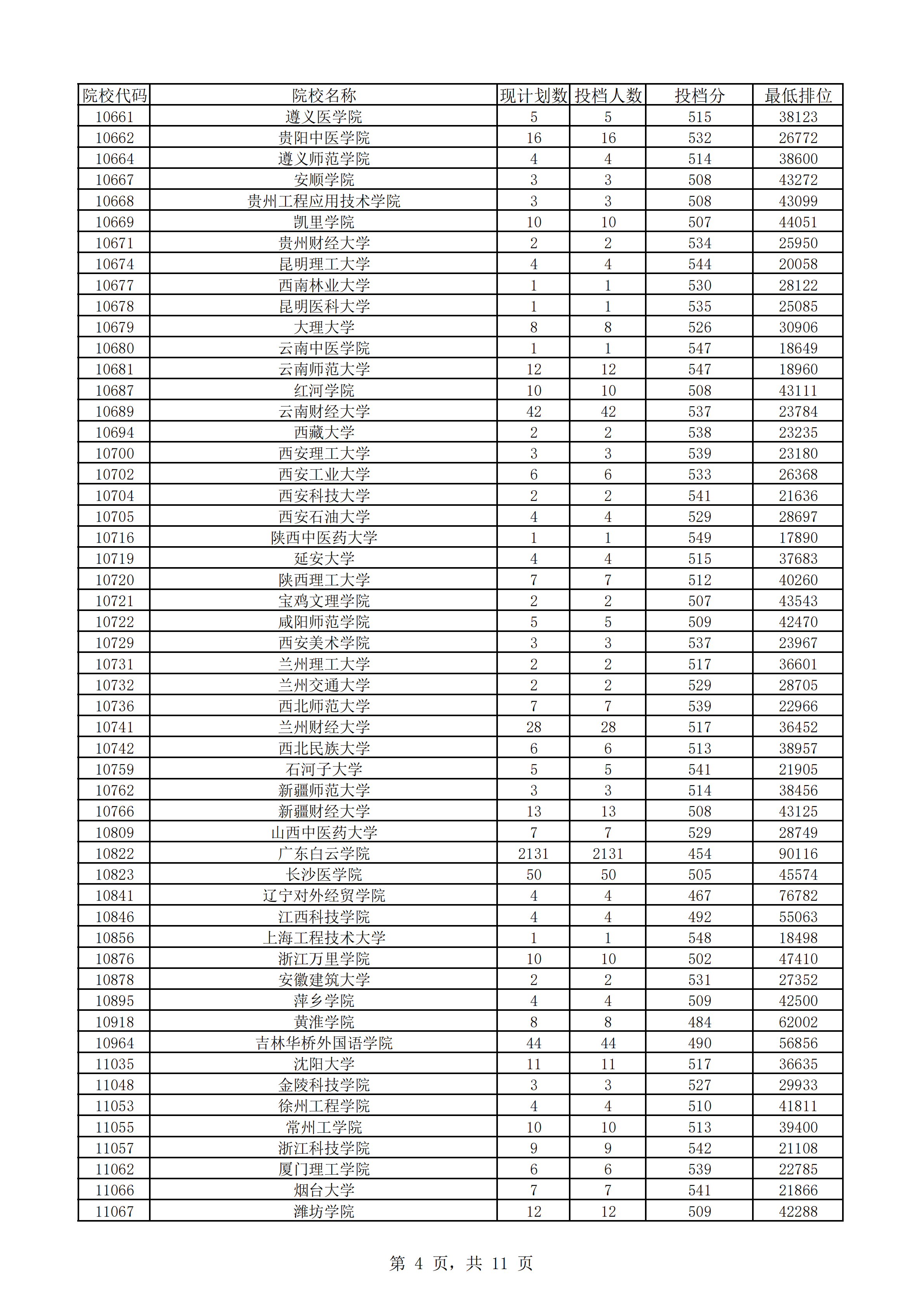
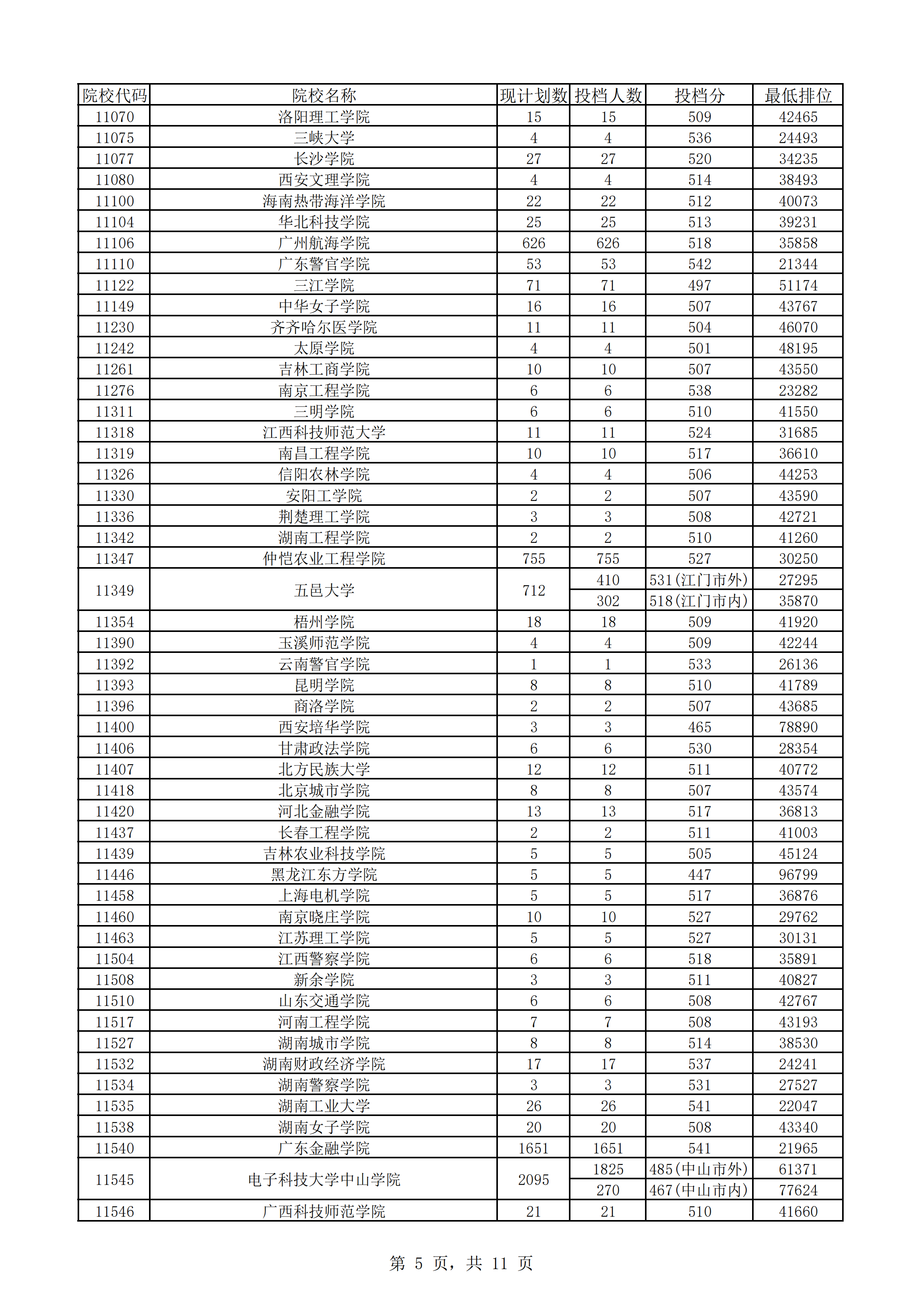
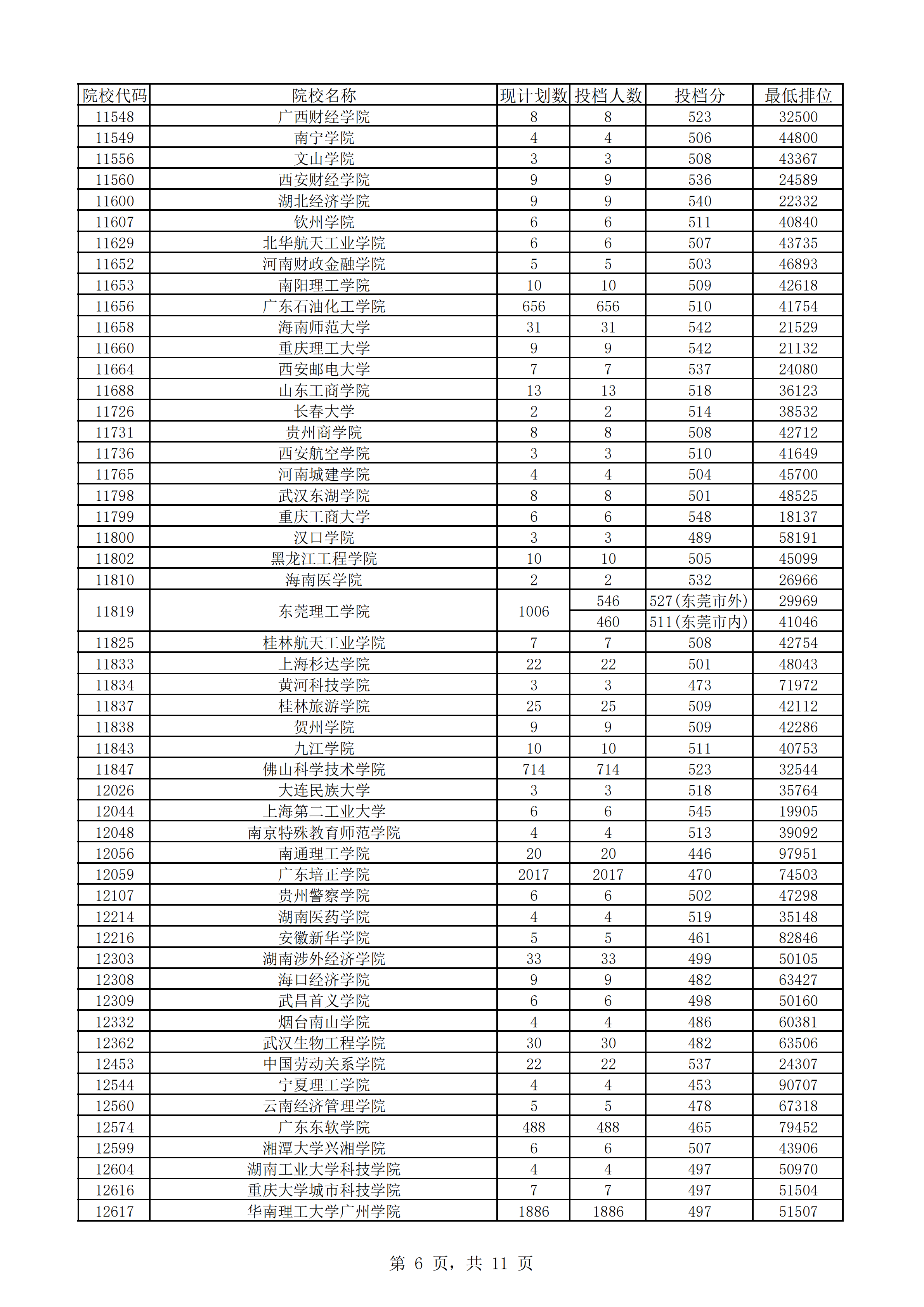
2018年广东本科投档分数线已经公布,以下是文科投档情况,供大家参考。投档分数线是全国各大学在本省各批次录取过程中考生志愿投档时的最低分数线,如果生源充足,不用征集补录,那么投档分数线和最终录取分数线基本一致,如果生源不足,需要征集补录,那么投档线和最后录取最低分可能就有一定相差。











标签:

2025-5-19

2025-5-19

2025-5-19

2025-5-20

2025-5-19

2025-5-19

2025-5-19

2025-5-19

2025-5-20

2025-5-19

2025-5-21

2025-5-19