2024年广东专科投档分数线(历史)-ag亚洲游戏国际平台
更新:2025-5-21 13:32:39我要纠错

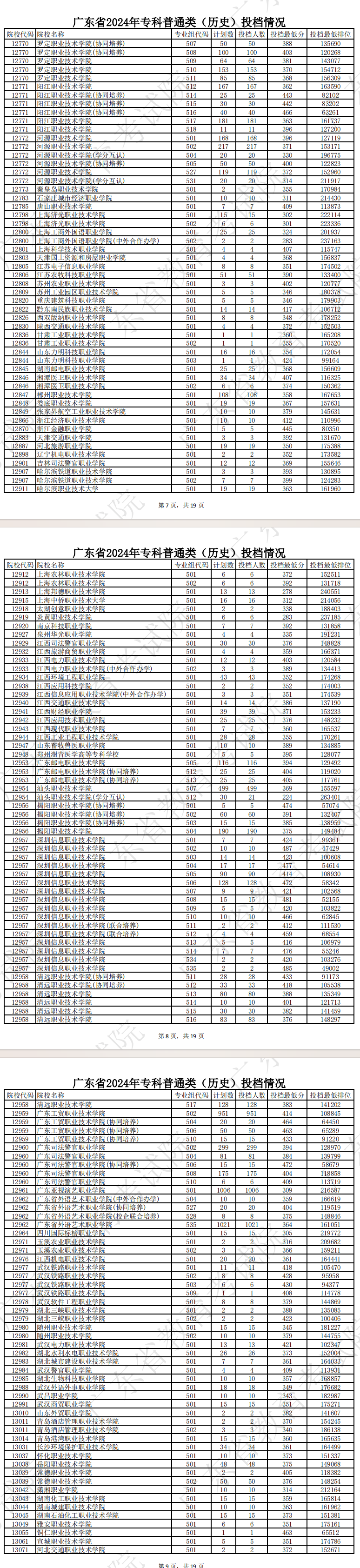
本文为大家整理的是广东2024年专科投档分数线,以下是历史类投档情况,希望对大家有所帮助。
投档人数通常会比实际招生人数多一点点,投档了并不代表一定就会被录取,如果不服从专业调剂或者不满足专业录取条件,也会被退档,大家要及时关注自己的档案状态。



点击查看完整投档情况:
点击查看征集志愿投档情况:
标签:

2025-5-20

2025-5-20

2025-5-20

2025-5-19

2025-5-19

2025-5-19

2025-5-21

2025-5-19

2025-5-19

2025-5-21

2025-5-21