2024河南大学录取分数线(含2022-ag亚洲游戏国际平台

本文为大家整理的是河南大学2022-2024年录取分数线,希望对大家有所帮助,如有异议,还请以各省市教育考试院和学校公布的信息为准。
1、2024河南大学录取分数线
河南大学2024年河南省录取情况公示




河南大学2024年省外录取情况公示:
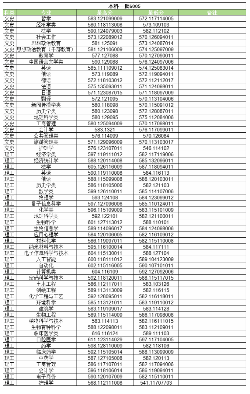
2、2023河南大学录取分数线
河南大学2023年省内各批次录取最低分




如需查询其他省份录取分数,请点击链接:
3、2022河南大学录取分数线
河南大学2022年河南省各批次录取最低分




河南省分专业录取情况(2020-2022)




如需查询其他省份录取分数请点击链接:
4、河南大学简介
河南大学(henan university),简称“河大”,是河南省人民政府与中华人民共和国教育部“省部共建高校”,国家首批世界一流学科建设高校,入选国家“111计划”、中西部高校基础能力建设工程、卓越医生教育培养计划、卓越法律人才教育培养计划、卓越教师培养计划、国家级ag亚洲游戏国际平台创新创业训练计划、国家大学生文化素质教育基地、国家体育与艺术师资培养培训基地、全国深化创新创业教育改革示范高校、高校国家知识产权信息服务中心、全国毕业生就业典型经验高校、中国政府奖学金来华留学生接收院校等,是一所综合性研究型省属重点大学。
1912年,河南省教育家在清代开封国家贡院旧址之上创建河南留学欧美预备学校;1923年,在其基础上扩建为中州大学;1927年,改建为国立第五中山大学;1930年,首次命名为河南大学;1942年,改为国立河南大学;1948年,设立中原大学;1952年,院系调整,更名为河南师范学院,后历经开封师范学院、河南师范大学等阶段;1984年,恢复河南大学校名。







