河北高考等级分怎么换算 赋分规则-ag亚洲游戏国际平台

河北ag亚洲游戏国际平台等级分赋分规则已经公布,以下是详细内容,供大家参考,如有变动,以考试院最新消息为准。
1、普通高校全国统一考试招生录取的考生(文化)总成绩是如何组成的?
答:考生总成绩由全国统一高考的语文、数学、外语3个科目成绩和考生选择的3科普通高中学业水平选择性考试(即普通高中课程方案和学科课程标准中规定的等级性考试,下同)科目成绩组成,满分为750分。其中,统一高考的语文、数学、外语3门科目,每科满分均为150分,总分450分,各科均以原始成绩计入考生总成绩。在普通高中学业水平选择性考试中,考生在物理或历史中所选择的1门科目,满分为100分,以原始成绩计入考生总成绩;在思想政治、地理、化学、生物学4门科目中选择的2门科目,每科满分均为100分,以等级赋分成绩计入考生总成绩。即通常所说的“3 1 2”模式。
2、等级赋分的规则是什么?
答:思想政治、地理、化学、生物学4门科目每科原始成绩为100分,转换后赋分成绩满分为100分,赋分起点为30分。转换时将各科目考生原始成绩从高到低划分为a、b、c、d、e共5个等级,各等级人数所占比例分别约为15%、35%、35%、13%和2%。各科目成绩计入考生总成绩时,将a至e等级内的考生原始成绩,按照事先确定的比例,依照转换公式,分别转换到100~86、85~71、70~56、55~41、40~30五个分数区间(表1),得到考生的赋分成绩。转换基数为实际参加该科目选择考的人数(不含缺考及因违纪作弊已被取消该科成绩的人数)。
表1:具体等级比例和赋分区间

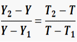
等级转换的具体公式:

其中:
y1、y2分别表示原始分区间的下限和上限;
t1、t2分别表示转换分区间的下限和上限;
y表示原始分;
t表示转换分。
考虑到高考分数都以整数呈现,故上述公式的计算结果需要进行“四舍五入”处理。
3、具体是如何进行成绩转换的?
答:可以举例说明,假设某同学思想政治学科原始分为75分,该学科b等级的原始分分布区间为82~61,则该同学思想政治学科的原始成绩属b等级。而b等级的转换分区间为85~71,那么该同学思想政治学科的转换分为:

解得, t≈80.33;
四舍五入后该同学思想政治学科赋分成绩为80(图2)。
图2:转换示意图












