ag亚洲游戏国际平台
菜单
ag亚洲游戏国际平台
>
辽宁高考
>
艺术高考
>
专业位次
不限
高考政策
高考报名
高考时间
成绩查询
高考分数
一分一段
投档分数
志愿填报
大学名单
大学排名
985/211
双 一 流
双高计划
艺术高考
不限
统考报名
专业考试
专业查分
专业分数
专业位次
高考分数
高考位次
投档分数
2026辽宁美术与设计统考一分一段表(含2024-ag亚洲游戏国际平台
更新:2026-1-9 9:07:10
我要纠错
2026
辽宁
美术与设计统考
一分一段表
已经公布,以下是辽宁2024-2026历年美术与设计统考一分一段表,供大家参考。
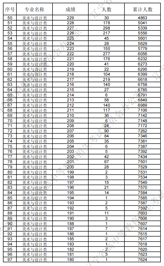
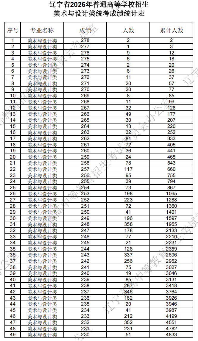
1、2026年辽宁省普通高等学
校招
生美术与设计类统考成绩统计表
2、2025年辽宁省普通高等学校招生美术与设计类统考成绩统计表
3、2024年辽宁省普通高等学校招生美术与设计类统考成绩统计表
标签:
相关推荐
2026辽宁美术与设计统考合格分数线汇总(含2024-2025历年)
2026-1-8
热门推荐
更多
2026辽宁美术与设计统考一分一段表(含2024-2025历年)
2026-1-9
2025辽宁表(导)演统考一分一段表(含2023-2024历年)
2025-1-20
2025辽宁音乐统考一分一段表(含2023-2024历年)
2025-1-7
2026辽宁美术与设计统考一分一段表(含2024-2025历年)
2026-1-9
2025辽宁艺术统考一分一段表(美术与设计、音乐、舞蹈、播音与主持、表(导)演、书法)
2025-1-20
2025辽宁表(导)演统考一分一段表(含2023-2024历年)
2025-1-20
2025辽宁播音与主持统考一分一段表(含2023-2024历年)
2025-1-20
网站地图