2022-ag亚洲游戏国际平台
更新:2025-5-21 15:31:39我要纠错

本文为大家整理的是海南2022-2024年美术类投档分数线,包含本科提前批、专科提前批等,以下是详细内容,希望对大家有所帮助。
一、2024年海南省普通高校招生录取美术类平行志愿院校专业组投档分数线
2024年海南省普通高校招生录取本科提前批艺术类平行志愿院校专业组最低投档分
| 科类名称 | 院校专业组代码 | 院校专业组名称 | 计划数 | 投档数 | 最低投档分 | 科目要求 |
| 美术与设计类 | 000701 | 北京理工大学(01) | 3 | 3 | 379.5 | 000 |
| 美术与设计类 | 001401 | 北京印刷学院(01) | 4 | 6 | 346.9 | 000 |
| 美术与设计类 | 004701 | 中央民族大学(01) | 4 | 4 | 321.8 | 000 |
| 美术与设计类 | 005801 | 中国地质大学(北京)(01) | 2 | 2 | 375.6 | 000 |
| 美术与设计类 | 006001 | 北京城市学院(01) | 4 | 4 | 309.2 | 000 |
| 美术与设计类 | 007301 | 首都师范大学科德学院(01) | 2 | 0 | — | 000 |
| 美术与设计类 | 007401 | 北京金融科技学院(01) | 3 | 0 | — | 000 |
| 美术与设计类 | 007701 | 北京邮电大学世纪学院(01) | 2 | 1 | 290.9 | 000 |
| 美术与设计类 | 007801 | 北京工业大学耿丹学院(01) | 10 | 0 | — | 000 |
| 美术与设计类 | 009801 | 天津科技大学(01) | 4 | 4 | 332.2 | 000 |
| 美术与设计类 | 009901 | 天津工业大学(01) | 5 | 5 | 342.2 | 000 |
| 美术与设计类 | 010501 | 天津师范大学(01) | 9 | 9 | 340.3 | 000 |
| 美术与设计类 | 010701 | 天津外国语大学(01) | 4 | 4 | 333.5 | 000 |
| 美术与设计类 | 010901 | 天津财经大学(01) | 4 | 4 | 334.1 | 000 |
| 美术与设计类 | 013401 | 天津商业大学宝德学院(01) | 2 | 2 | 313.3 | 000 |
| 美术与设计类 | 014301 | 北京科技大学天津学院(01) | 4 | 4 | 315.2 | 000 |
| 美术与设计类 | 014801 | 天津仁爱学院(01) | 8 | 1 | 303.5 | 000 |
| 美术与设计类 | 020601 | 河北传媒学院(01) | 16 | 7 | 274.9 | 000 |
| 美术与设计类 | 021801 | 河北美术学院(01) | 15 | 15 | 287.9 | 000 |
| 美术与设计类 | 030101 | 忻州师范学院(01) | 4 | 4 | 322.9 | 000 |
| 美术与设计类 | 036001 | 山西传媒学院(01) | 13 | 13 | 323.2 | 000 |
| 美术与设计类 | 056601 | 吉林艺术学院(01) | 16 | 16 | 326.3 | 000 |
| 美术与设计类 | 059101 | 长春科技学院(01) | 24 | 15 | 271.9 | 000 |
| 美术与设计类 | 059201 | 吉林动画学院(01) | 32 | 32 | 305.2 | 000 |
| 美术与设计类 | 074301 | 上海立达学院(01) | 2 | 0 | — | 000 |
| 美术与设计类 | 078301 | 江南大学(01) | 1 | 1 | 375.6 | 000 |
| 美术与设计类 | 080201 | 南京艺术学院(01) | 2 | 2 | 368.3 | 000 |
| 美术与设计类 | 082601 | 江苏理工学院(01) | 9 | 9 | 331.4 | 000 |
| 美术与设计类 | 088201 | 南京航空航天大学金城学院(01) | 14 | 14 | 300.1 | 000 |
| 美术与设计类 | 088301 | 南京传媒学院(01) | 4 | 4 | 319.1 | 000 |
| 美术与设计类 | 095901 | 浙江工商大学(01) | 3 | 3 | 349 | 000 |
| 美术与设计类 | 118401 | 福州大学(01) | 6 | 6 | 353.9 | 000 |
| 美术与设计类 | 119401 | 泉州师范学院(01) | 3 | 3 | 332.1 | 000 |
| 美术与设计类 | 121901 | 厦门华厦学院(01) | 7 | 7 | 311.3 | 000 |
| 美术与设计类 | 122801 | 厦门大学嘉庚学院(01) | 6 | 6 | 319.8 | 000 |
| 美术与设计类 | 123201 | 福州外语外贸学院(01) | 8 | 5 | 280.4 | 000 |
| 美术与设计类 | 123280 | 福州外语外贸学院(80) | 5 | 0 | — | 000 |
| 美术与设计类 | 127701 | 景德镇陶瓷大学(01) | 3 | 3 | 346.4 | 000 |
| 美术与设计类 | 128201 | 上饶师范学院(01) | 4 | 4 | 325 | 000 |
| 美术与设计类 | 128301 | 宜春学院(01) | 2 | 2 | 326.8 | 000 |
| 美术与设计类 | 128401 | 赣南师范大学(01) | 4 | 4 | 336.1 | 000 |
| 美术与设计类 | 128801 | 江西科技学院(01) | 44 | 17 | 279.7 | 000 |
| 美术与设计类 | 129001 | 景德镇学院(01) | 8 | 8 | 321.2 | 008 |
| 美术与设计类 | 129801 | 九江学院(01) | 4 | 4 | 322.4 | 000 |
| 美术与设计类 | 130001 | 南昌理工学院(01) | 2 | 2 | 300.9 | 000 |
| 美术与设计类 | 131601 | 江西服装学院(01) | 11 | 4 | 275.7 | 000 |
| 美术与设计类 | 131801 | 南昌职业大学(01) | 5 | 5 | 299.6 | 000 |
| 美术与设计类 | 131901 | 南昌工学院(01) | 4 | 4 | 292.2 | 000 |
| 美术与设计类 | 132801 | 南昌大学共青学院(01) | 16 | 16 | 311 | 000 |
| 美术与设计类 | 133201 | 赣南科技学院(01) | 6 | 6 | 321.4 | 000 |
| 美术与设计类 | 133301 | 景德镇艺术职业大学(01) | 11 | 11 | 312.9 | 000 |
| 美术与设计类 | 134001 | 豫章师范学院(01) | 3 | 3 | 319.2 | 000 |
| 美术与设计类 | 136101 | 南昌师范学院(01) | 3 | 3 | 328.2 | 000 |
| 美术与设计类 | 139001 | 济南大学(01) | 4 | 4 | 336 | 000 |
| 美术与设计类 | 140401 | 山东师范大学(01) | 2 | 2 | 355.5 | 000 |
| 美术与设计类 | 154801 | 郑州轻工业大学(01) | 5 | 5 | 335.1 | 000 |
| 美术与设计类 | 154901 | 河南工业大学(01) | 4 | 4 | 338.8 | 000 |
| 美术与设计类 | 157201 | 黄淮学院(01) | 10 | 10 | 316.8 | 000 |
| 美术与设计类 | 172101 | 武汉纺织大学(01) | 4 | 4 | 335.2 | 000 |
| 美术与设计类 | 173601 | 湖北美术学院(01) | 2 | 2 | 352.9 | 000 |
| 美术与设计类 | 176301 | 武昌首义学院(01) | 10 | 10 | 302.4 | 000 |
| 美术与设计类 | 176401 | 武昌理工学院(01) | 4 | 4 | 309.5 | 000 |
| 美术与设计类 | 180101 | 长江大学文理学院(01) | 4 | 4 | 319.8 | 000 |
| 美术与设计类 | 180901 | 湖北文理学院理工学院(01) | 1 | 1 | 306.7 | 000 |
| 美术与设计类 | 181701 | 武汉工程科技学院(01) | 10 | 10 | 287.6 | 000 |
| 美术与设计类 | 181801 | 武汉华夏理工学院(01) | 16 | 22 | 304.6 | 000 |
| 美术与设计类 | 181901 | 武汉传媒学院(01) | 10 | 10 | 305.3 | 000 |
| 美术与设计类 | 186301 | 湘南学院(01) | 9 | 9 | 324.2 | 000 |
| 美术与设计类 | 186401 | 衡阳师范学院(01) | 8 | 8 | 330.8 | 000 |
| 美术与设计类 | 187001 | 湖南工商大学(01) | 3 | 3 | 329.3 | 000 |
| 美术与设计类 | 187701 | 长沙学院(01) | 3 | 3 | 329.9 | 000 |
| 美术与设计类 | 187901 | 湖南城市学院(01) | 2 | 2 | 328.6 | 000 |
| 美术与设计类 | 190701 | 湖南工业大学科技学院(01) | 8 | 8 | 316.7 | 000 |
| 美术与设计类 | 191601 | 衡阳师范学院南岳学院(01) | 2 | 2 | 319.5 | 000 |
| 美术与设计类 | 200601 | 华南师范大学(01) | 9 | 9 | 357.3 | 000 |
| 美术与设计类 | 201101 | 肇庆学院(01) | 8 | 8 | 327 | 000 |
| 美术与设计类 | 203201 | 五邑大学(01) | 1 | 1 | 340.5 | 000 |
| 美术与设计类 | 203401 | 电子科技大学中山学院(01) | 10 | 10 | 305.9 | 000 |
| 美术与设计类 | 203501 | 广东石油化工学院(01) | 2 | 2 | 318.3 | 000 |
| 美术与设计类 | 203701 | 广东工业大学(01) | 6 | 6 | 346.5 | 000 |
| 美术与设计类 | 205601 | 广州软件学院(01) | 4 | 4 | 301.1 | 000 |
| 美术与设计类 | 206001 | 湛江科技学院(01) | 20 | 3 | 278.9 | 000 |
| 美术与设计类 | 206101 | 华南农业大学珠江学院(01) | 6 | 2 | 274.9 | 000 |
| 美术与设计类 | 206201 | 广州理工学院(01) | 5 | 5 | 295.8 | 000 |
| 美术与设计类 | 208201 | 广州华立学院(01) | 2 | 1 | 294.8 | 000 |
| 美术与设计类 | 208601 | 珠海科技学院(01) | 16 | 16 | 304.3 | 000 |
| 美术与设计类 | 210001 | 广东理工学院(01) | 10 | 10 | 294.8 | 000 |
| 美术与设计类 | 216501 | 桂林电子科技大学(01) | 2 | 2 | 333.7 | 000 |
| 美术与设计类 | 217301 | 广西民族师范学院(01) | 3 | 3 | 323.8 | 000 |
| 美术与设计类 | 218301 | 广西科技师范学院(01) | 6 | 6 | 320.2 | 000 |
| 美术与设计类 | 218601 | 南宁学院(01) | 2 | 2 | 316 | 000 |
| 美术与设计类 | 219101 | 桂林航天工业学院(01) | 4 | 4 | 324.7 | 000 |
| 美术与设计类 | 220401 | 北海艺术设计学院(01) | 113 | 43 | 272.2 | 000 |
| 美术与设计类 | 220801 | 桂林学院(01) | 3 | 3 | 316.8 | 000 |
| 美术与设计类 | 221101 | 桂林信息科技学院(01) | 8 | 4 | 284.9 | 000 |
| 美术与设计类 | 221201 | 南宁理工学院(01) | 14 | 2 | 288.4 | 000 |
| 美术与设计类 | 221601 | 广西外国语学院(01) | 7 | 7 | 290.8 | 000 |
| 美术与设计类 | 225708 | 西南大学(08) | 7 | 7 | 358.5 | 000 |
| 美术与设计类 | 225709 | 西南大学(09) | 2 | 2 | 389.9 | 000 |
| 美术与设计类 | 225901 | 重庆文理学院(01) | 9 | 9 | 323.7 | 000 |
| 美术与设计类 | 226001 | 重庆三峡学院(01) | 4 | 4 | 328.6 | 000 |
| 美术与设计类 | 227601 | 重庆城市科技学院(01) | 31 | 33 | 307.8 | 000 |
| 美术与设计类 | 228501 | 重庆对外经贸学院(01) | 5 | 5 | 315.4 | 000 |
| 美术与设计类 | 231101 | 重庆第二师范学院(01) | 10 | 10 | 326.2 | 000 |
| 美术与设计类 | 234301 | 内江师范学院(01) | 2 | 2 | 331.6 | 000 |
| 美术与设计类 | 234501 | 四川文理学院(01) | 4 | 4 | 325.6 | 000 |
| 美术与设计类 | 235101 | 西南民族大学(01) | 13 | 13 | 340 | 000 |
| 美术与设计类 | 236301 | 成都东软学院(01) | 2 | 2 | 316.2 | 000 |
| 美术与设计类 | 239001 | 四川传媒学院(01) | 6 | 6 | 327.5 | 000 |
| 美术与设计类 | 239201 | 成都文理学院(01) | 13 | 13 | 311.5 | 000 |
| 美术与设计类 | 239301 | 四川工商学院(01) | 14 | 14 | 310.5 | 000 |
| 美术与设计类 | 240101 | 成都锦城学院(01) | 4 | 4 | 313.5 | 000 |
| 美术与设计类 | 240801 | 四川大学锦江学院(01) | 6 | 6 | 316.5 | 000 |
| 美术与设计类 | 240901 | 四川文化艺术学院(01) | 3 | 3 | 317.9 | 000 |
| 美术与设计类 | 249801 | 贵阳信息科技学院(01) | 3 | 3 | 308.8 | 000 |
| 美术与设计类 | 256401 | 昆明学院(01) | 2 | 2 | 321.3 | 000 |
| 美术与设计类 | 256501 | 文山学院(01) | 5 | 5 | 317.8 | 000 |
| 美术与设计类 | 258101 | 滇池学院(01) | 15 | 15 | 287.8 | 000 |
| 美术与设计类 | 258201 | 丽江文化旅游学院(01) | 70 | 14 | 266.3 | 000 |
| 美术与设计类 | 264701 | 西安建筑科技大学(01) | 2 | 2 | 333.8 | 000 |
| 美术与设计类 | 264801 | 西安科技大学(01) | 2 | 2 | 333.6 | 000 |
| 美术与设计类 | 266001 | 渭南师范学院(01) | 2 | 2 | 325.7 | 000 |
| 美术与设计类 | 266080 | 渭南师范学院(80) | 3 | 3 | 311.2 | 000 |
| 美术与设计类 | 267201 | 西安培华学院(01) | 4 | 4 | 299.7 | 000 |
| 美术与设计类 | 268001 | 西安外事学院(01) | 6 | 3 | 280.9 | 000 |
| 美术与设计类 | 268101 | 西安翻译学院(01) | 15 | 12 | 272.1 | 000 |
| 美术与设计类 | 268201 | 西京学院(01) | 29 | 21 | 280.6 | 000 |
| 美术与设计类 | 268801 | 西安思源学院(01) | 7 | 7 | 299.9 | 000 |
| 美术与设计类 | 600101 | 海南大学(01) | 14 | 14 | 341 | 000 |
| 美术与设计类 | 600202 | 海南热带海洋学院(02) | 12 | 12 | 323.7 | 000 |
| 美术与设计类 | 600303 | 海南师范大学(03) | 16 | 16 | 335.3 | 000 |
| 美术与设计类 | 600380 | 海南师范大学(80) | 8 | 8 | 304.7 | 000 |
| 美术与设计类 | 600601 | 海口经济学院(01) | 131 | 1 | 290.2 | 000 |
| 美术与设计类 | 601103 | 琼台师范学院(03) | 46 | 46 | 320.7 | 000 |
| 美术与设计类 | 601401 | 三亚学院(01) | 42 | 23 | 268.9 | 000 |
| 美术与设计类 | 601602 | 海南科技职业大学(02) | 88 | 1 | 284.2 | 000 |
| “科目要求”栏内4、5、6、7、8、9和000均为招生院校专业组对考生选考科目要求的代码。“4”表示物理科目,“5”表示化学科目,“6”表示生物科目,“7”表示思想政治科目,“8”表示历史科目,“9”表示地理科目,“000”表示不提选考科目。“科目要求”栏中二位数字若为“45”(从小到大排序),则表示物理、化学(2门科目考生选考其中一门即可报考);若为“54”(从大到小排序),则表示物理、化学(2门科目考生均须选考方可报考),以此类推。 | ||||||
2024年海南省普通高校招生录取提前批艺术类院校专业组征集志愿最低投档分
| 科类名称 | 院校专业组代码 | 院校专业组名称 | 科目 要求 | 最低 投档分 |
| 美术与设计类 | 007301 | 首都师范大学科德学院(01) | 000 | — |
| 美术与设计类 | 007401 | 北京金融科技学院(01) | 000 | — |
| 美术与设计类 | 007701 | 北京邮电大学世纪学院(01) | 000 | — |
| 美术与设计类 | 007801 | 北京工业大学耿丹学院(01) | 000 | — |
| 美术与设计类 | 010501 | 天津师范大学(01) | 000 | 340.3 |
| 美术与设计类 | 014801 | 天津仁爱学院(01) | 000 | — |
| 美术与设计类 | 020601 | 河北传媒学院(01) | 000 | 284.6 |
| 美术与设计类 | 059101 | 长春科技学院(01) | 000 | 287.5 |
| 美术与设计类 | 074301 | 上海立达学院(01) | 000 | — |
| 美术与设计类 | 119401 | 泉州师范学院(01) | 000 | 332.1 |
| 美术与设计类 | 123201 | 福州外语外贸学院(01) | 000 | 316.5 |
| 美术与设计类 | 123280 | 福州外语外贸学院(80) | 000 | — |
| 美术与设计类 | 128801 | 江西科技学院(01) | 000 | 290.7 |
| 美术与设计类 | 131601 | 江西服装学院(01) | 000 | 316.3 |
| 美术与设计类 | 180101 | 长江大学文理学院(01) | 000 | 317.7 |
| 美术与设计类 | 206001 | 湛江科技学院(01) | 000 | — |
| 美术与设计类 | 206101 | 华南农业大学珠江学院(01) | 000 | 296.6 |
| 美术与设计类 | 208201 | 广州华立学院(01) | 000 | — |
| 美术与设计类 | 220401 | 北海艺术设计学院(01) | 000 | 280.2 |
| 美术与设计类 | 221101 | 桂林信息科技学院(01) | 000 | 312.1 |
| 美术与设计类 | 221201 | 南宁理工学院(01) | 000 | 291.7 |
| 美术与设计类 | 221601 | 广西外国语学院(01) | 000 | 313.3 |
| 美术与设计类 | 258101 | 滇池学院(01) | 000 | 304.2 |
| 美术与设计类 | 258201 | 丽江文化旅游学院(01) | 000 | 265.2 |
| 美术与设计类 | 268001 | 西安外事学院(01) | 000 | 301.1 |
| 美术与设计类 | 268101 | 西安翻译学院(01) | 000 | 289.6 |
| 美术与设计类 | 268201 | 西京学院(01) | 000 | 303.3 |
| 美术与设计类 | 600601 | 海口经济学院(01) | 000 | 281.2 |
| 美术与设计类 | 601103 | 琼台师范学院(03) | 000 | 332.1 |
| 美术与设计类 | 601401 | 三亚学院(01) | 000 | 274.9 |
| 美术与设计类 | 601602 | 海南科技职业大学(02) | 000 | 290.6 |
2024年海南省普通高校招生录取高职(专科)提前批艺术类平行志愿院校专业组最低投档分
| 类别 | 院校专业 组代码 | 院校专业组名称 | 最低 投档分 | 科目要求 |
| 美术与设计类 | 021803 | 河北美术学院(03) | 289.9 | 000 |
| 美术与设计类 | 074401 | 上海工艺美术职业学院(01) | 313.1 | 000 |
| 美术与设计类 | 074501 | 上海济光职业技术学院(01) | 270.5 | 000 |
| 美术与设计类 | 074701 | 上海工商外国语职业学院(01) | 277.6 | 000 |
| 美术与设计类 | 075203 | 上海中侨职业技术大学(03) | 284.8 | 000 |
| 美术与设计类 | 081001 | 苏州工艺美术职业技术学院(01) | 310.4 | 000 |
| 美术与设计类 | 089501 | 苏州百年职业学院(01) | 255.5 | 000 |
| 美术与设计类 | 091501 | 苏州高博职业学院(01) | 275.8 | 000 |
| 美术与设计类 | 122101 | 泉州纺织服装职业学院(01) | 282.9 | 000 |
| 美术与设计类 | 124601 | 厦门城市职业学院(01) | 304.5 | 000 |
| 美术与设计类 | 125701 | 厦门东海职业技术学院(01) | 279.1 | 000 |
| 美术与设计类 | 125901 | 漳州理工职业学院(01) | 286.1 | 000 |
| 美术与设计类 | 128809 | 江西科技学院(09) | 293.2 | 000 |
| 美术与设计类 | 129501 | 九江职业大学(01) | 304.5 | 000 |
| 美术与设计类 | 131701 | 江西科技职业学院(01) | 245.9 | 000 |
| 美术与设计类 | 131806 | 南昌职业大学(06) | 284.9 | 000 |
| 美术与设计类 | 131907 | 南昌工学院(07) | 300 | 000 |
| 美术与设计类 | 133801 | 南昌应用技术师范学院(01) | 297.6 | 000 |
| 美术与设计类 | 135801 | 江西工商职业技术学院(01) | 286.5 | 000 |
| 美术与设计类 | 135901 | 景德镇陶瓷职业技术学院(01) | 261.7 | 000 |
| 美术与设计类 | 151101 | 山东文化产业职业学院(01) | 263.9 | 000 |
| 美术与设计类 | 178802 | 武昌职业学院(02) | 279.6 | 000 |
| 美术与设计类 | 178901 | 武汉商贸职业学院(01) | 287.8 | 000 |
| 美术与设计类 | 182001 | 江汉艺术职业学院(01) | 305.4 | 000 |
| 美术与设计类 | 194801 | 湖南工艺美术职业学院(01) | 308.4 | 000 |
| 美术与设计类 | 202101 | 广东轻工职业技术大学(01) | 308.1 | 000 |
| 美术与设计类 | 207901 | 广东亚视演艺职业学院(01) | 288.6 | 000 |
| 美术与设计类 | 209101 | 江门职业技术学院(01) | 303.9 | 000 |
| 美术与设计类 | 209501 | 广州涉外经济职业技术学院(01) | 280 | 000 |
| 美术与设计类 | 213701 | 广东酒店管理职业技术学院(01) | 268.8 | 000 |
| 美术与设计类 | 219001 | 桂林师范高等专科学校(01) | 296.9 | 000 |
| 美术与设计类 | 221501 | 广西演艺职业学院(01) | 287.5 | 000 |
| 美术与设计类 | 225201 | 崇左幼儿师范高等专科学校(01) | 299.1 | 000 |
| 美术与设计类 | 227801 | 重庆信息技术职业学院(01) | 275.4 | 000 |
| 美术与设计类 | 228101 | 重庆工程职业技术学院(01) | 299.4 | 000 |
| 美术与设计类 | 229101 | 重庆工商职业学院(01) | 298.6 | 000 |
| 美术与设计类 | 230701 | 重庆艺术工程职业学院(01) | 292.1 | 000 |
| 美术与设计类 | 231501 | 重庆资源与环境保护职业学院(01) | 262.5 | 000 |
| 美术与设计类 | 245301 | 德阳农业科技职业学院(01) | 280.9 | 000 |
| 美术与设计类 | 268806 | 西安思源学院(06) | 284.2 | 000 |
| 美术与设计类 | 600501 | 海南职业技术学院(01) | 294.3 | 000 |
| 美术与设计类 | 600611 | 海口经济学院(11) | 205.2 | 000 |
| 美术与设计类 | 600701 | 三亚城市职业学院(01) | 289.2 | 000 |
| 美术与设计类 | 600782 | 三亚城市职业学院(82) | 221.6 | 000 |
| 美术与设计类 | 600801 | 海南软件职业技术学院(01) | 294.1 | 000 |
| 美术与设计类 | 601001 | 海南外国语职业学院(01) | 286.5 | 000 |
| 美术与设计类 | 601201 | 海南经贸职业技术学院(01) | 295.9 | 000 |
| 美术与设计类 | 601301 | 海南工商职业学院(01) | 275.1 | 000 |
| 美术与设计类 | 601502 | 三亚航空旅游职业学院(02) | 271.9 | 000 |
| 美术与设计类 | 601607 | 海南科技职业大学(07) | 239 | 000 |
| 美术与设计类 | 601680 | 海南科技职业大学(80) | 262.3 | 000 |
| 美术与设计类 | 601701 | 三亚理工职业学院(01) | 259.6 | 000 |
| 美术与设计类 | 601780 | 三亚理工职业学院(80) | 220.7 | 000 |
| “科目要求”中“000”表示不提选考科目。 | ||||
2024年海南省普通高校招生录取高职(专科)提前批艺术类院校专业组征集志愿平行投档最低投档分
| 类别 | 院校专业 组代码 | 院校专业组名称 | 投档分 | 科目要求 |
| 美术与设计类 | 074501 | 上海济光职业技术学院(01) | 285.4 | 000 |
| 美术与设计类 | 125901 | 漳州理工职业学院(01) | 283.9 | 000 |
| 美术与设计类 | 128809 | 江西科技学院(09) | 294.1 | 000 |
| 美术与设计类 | 131701 | 江西科技职业学院(01) | 278.3 | 000 |
| 美术与设计类 | 135901 | 景德镇陶瓷职业技术学院(01) | 253.9 | 000 |
| 美术与设计类 | 227801 | 重庆信息技术职业学院(01) | 289.6 | 000 |
| 美术与设计类 | 268806 | 西安思源学院(06) | 283.7 | 000 |
| 美术与设计类 | 600611 | 海口经济学院(11) | 220.4 | 000 |
| 美术与设计类 | 600782 | 三亚城市职业学院(82) | 242.6 | 000 |
| 美术与设计类 | 601607 | 海南科技职业大学(07) | 273.6 | 000 |
| 美术与设计类 | 601680 | 海南科技职业大学(80) | 285.6 | 000 |
| 美术与设计类 | 601701 | 三亚理工职业学院(01) | 274.9 | 000 |
| 美术与设计类 | 601780 | 三亚理工职业学院(80) | 250.6 | 000 |
| “科目要求”中“000”表示不提选考科目。 | ||||
二、2023年海南省普通高校招生录取美术类平行志愿院校专业组投档分数线
| 2023年海南省普通高校招生录取本科提前批艺术类平行志愿院校专业组投档分数线-美术类 | ||||||
| 科类名称 | 院校专业组代码 | 院校专业组名称 | 计划数 | 投档数 | 投档线 | 科目要求 |
| 美术类 | 001401 | 北京印刷学院(01) | 5 | 5 | 215.6 | 000 |
| 美术类 | 004701 | 中央民族大学(01) | 6 | 6 | 194.4 | 000 |
| 美术类 | 005801 | 中国地质大学(北京)(01) | 2 | 2 | 219.4 | 000 |
| 美术类 | 006001 | 北京城市学院(01) | 2 | 2 | 203.5 | 000 |
| 美术类 | 007401 | 北京工商大学嘉华学院(01) | 4 | 7 | 182 | 000 |
| 美术类 | 007701 | 北京邮电大学世纪学院(01) | 2 | 8 | 188.6 | 000 |
| 美术类 | 007801 | 北京工业大学耿丹学院(01) | 10 | 10 | 185.2 | 000 |
| 美术类 | 009801 | 天津科技大学(01) | 4 | 4 | 214.2 | 000 |
| 美术类 | 010501 | 天津师范大学(01) | 9 | 9 | 214.7 | 000 |
| 美术类 | 010701 | 天津外国语大学(01) | 4 | 4 | 205.2 | 000 |
| 美术类 | 010901 | 天津财经大学(01) | 4 | 4 | 208.8 | 000 |
| 美术类 | 013401 | 天津商业大学宝德学院(01) | 2 | 2 | 199.9 | 000 |
| 美术类 | 014301 | 北京科技大学天津学院(01) | 4 | 4 | 200.6 | 000 |
| 美术类 | 021801 | 河北美术学院(01) | 18 | 18 | 193.6 | 000 |
| 美术类 | 029701 | 忻州师范学院(01) | 4 | 4 | 204.2 | 000 |
| 美术类 | 035601 | 山西传媒学院(01) | 15 | 15 | 204.2 | 000 |
| 美术类 | 058701 | 长春科技学院(01) | 24 | 24 | 190.8 | 000 |
| 美术类 | 058801 | 吉林动画学院(01) | 31 | 32 | 196.2 | 000 |
| 美术类 | 073801 | 上海立达学院(01) | 1 | 4 | 182.4 | 000 |
| 美术类 | 082001 | 江苏理工学院(01) | 9 | 9 | 206.3 | 000 |
| 美术类 | 095201 | 浙江工商大学(01) | 3 | 3 | 217.1 | 000 |
| 美术类 | 117301 | 福州大学(01) | 6 | 6 | 220.9 | 000 |
| 美术类 | 118301 | 泉州师范学院(01) | 5 | 5 | 209.5 | 000 |
| 美术类 | 120801 | 厦门华厦学院(01) | 7 | 7 | 199 | 000 |
| 美术类 | 121701 | 厦门大学嘉庚学院(01) | 6 | 6 | 204 | 000 |
| 美术类 | 122101 | 福州外语外贸学院(01) | 9 | 9 | 190 | 000 |
| 美术类 | 122180 | 福州外语外贸学院(80) | 5 | 5 | 186 | 000 |
| 美术类 | 127201 | 上饶师范学院(01) | 4 | 4 | 205.4 | 000 |
| 美术类 | 127301 | 宜春学院(01) | 3 | 3 | 204.4 | 000 |
| 美术类 | 127401 | 赣南师范大学(01) | 4 | 4 | 210.5 | 000 |
| 美术类 | 127801 | 江西科技学院(01) | 49 | 49 | 189.9 | 000 |
| 美术类 | 128001 | 景德镇学院(01) | 9 | 9 | 203.1 | 000 |
| 美术类 | 128101 | 萍乡学院(01) | 2 | 2 | 204.9 | 000 |
| 美术类 | 128801 | 九江学院(01) | 2 | 2 | 199.4 | 000 |
| 美术类 | 129001 | 南昌理工学院(01) | 2 | 2 | 200.9 | 000 |
| 美术类 | 130601 | 江西服装学院(01) | 9 | 9 | 192.4 | 000 |
| 美术类 | 130801 | 南昌职业大学(01) | 5 | 5 | 194.2 | 000 |
| 美术类 | 130901 | 南昌工学院(01) | 4 | 4 | 195.9 | 000 |
| 美术类 | 131801 | 南昌大学共青学院(01) | 16 | 16 | 200.2 | 000 |
| 美术类 | 132201 | 赣南科技学院(01) | 6 | 6 | 203.4 | 000 |
| 美术类 | 132301 | 景德镇艺术职业大学(01) | 13 | 13 | 199.2 | 000 |
| 美术类 | 133001 | 豫章师范学院(01) | 4 | 4 | 204.8 | 000 |
| 美术类 | 135101 | 南昌师范学院(01) | 2 | 2 | 209.2 | 000 |
| 美术类 | 137701 | 济南大学(01) | 7 | 7 | 204.3 | 000 |
| 美术类 | 139101 | 山东师范大学(01) | 2 | 2 | 219.8 | 000 |
| 美术类 | 153201 | 郑州轻工业大学(01) | 5 | 5 | 209.9 | 000 |
| 美术类 | 153301 | 河南工业大学(01) | 4 | 4 | 211.4 | 000 |
| 美术类 | 155601 | 黄淮学院(01) | 10 | 10 | 203.3 | 000 |
| 美术类 | 169001 | 长江大学(01) | 2 | 2 | 212.3 | 000 |
| 美术类 | 169301 | 武汉纺织大学(01) | 7 | 7 | 210.7 | 000 |
| 美术类 | 171801 | 江汉大学(01) | 3 | 3 | 210.8 | 000 |
| 美术类 | 173601 | 武昌理工学院(01) | 4 | 4 | 192.5 | 000 |
| 美术类 | 177301 | 长江大学文理学院(01) | 7 | 10 | 202.3 | 000 |
| 美术类 | 178901 | 武汉工程科技学院(01) | 10 | 10 | 192.5 | 000 |
| 美术类 | 179001 | 武汉华夏理工学院(01) | 16 | 16 | 198 | 000 |
| 美术类 | 183301 | 湘南学院(01) | 15 | 15 | 204.8 | 000 |
| 美术类 | 183401 | 衡阳师范学院(01) | 8 | 8 | 208.4 | 000 |
| 美术类 | 184001 | 湖南工商大学(01) | 3 | 3 | 212.1 | 000 |
| 美术类 | 184701 | 长沙学院(01) | 4 | 4 | 209.4 | 000 |
| 美术类 | 184901 | 湖南城市学院(01) | 2 | 2 | 206 | 000 |
| 美术类 | 185301 | 湖南工业大学(01) | 3 | 3 | 212.1 | 000 |
| 美术类 | 185380 | 湖南工业大学(80) | 3 | 2 | 182 | 000 |
| 美术类 | 187701 | 湖南工业大学科技学院(01) | 5 | 5 | 201.9 | 000 |
| 美术类 | 187702 | 湖南工业大学科技学院(02) | 5 | 5 | 200.6 | 48 |
| 美术类 | 188601 | 衡阳师范学院南岳学院(01) | 2 | 2 | 202.4 | 000 |
| 美术类 | 196901 | 华南师范大学(01) | 9 | 9 | 221.6 | 000 |
| 美术类 | 197401 | 肇庆学院(01) | 4 | 4 | 206 | 000 |
| 美术类 | 199501 | 五邑大学(01) | 1 | 1 | 209.8 | 789 |
| 美术类 | 199701 | 电子科技大学中山学院(01) | 10 | 10 | 196.5 | 000 |
| 美术类 | 200001 | 广东工业大学(01) | 6 | 6 | 219 | 000 |
| 美术类 | 201901 | 广州软件学院(01) | 4 | 4 | 194.1 | 000 |
| 美术类 | 202301 | 湛江科技学院(01) | 15 | 15 | 191.5 | 000 |
| 美术类 | 202401 | 华南农业大学珠江学院(01) | 4 | 6 | 182 | 000 |
| 美术类 | 202501 | 广州理工学院(01) | 4 | 4 | 191.4 | 000 |
| 美术类 | 204901 | 珠海科技学院(01) | 16 | 16 | 196.2 | 000 |
| 美术类 | 206301 | 广东理工学院(01) | 11 | 11 | 193.4 | 000 |
| 美术类 | 212501 | 桂林电子科技大学(01) | 2 | 2 | 210.6 | 000 |
| 美术类 | 213301 | 广西民族师范学院(01) | 3 | 3 | 203.6 | 000 |
| 美术类 | 214301 | 广西科技师范学院(01) | 5 | 5 | 203.7 | 000 |
| 美术类 | 214601 | 南宁学院(01) | 9 | 9 | 199.7 | 478 |
| 美术类 | 215101 | 桂林航天工业学院(01) | 4 | 4 | 204.1 | 000 |
| 美术类 | 216401 | 北海艺术设计学院(01) | 117 | 123 | 192.9 | 000 |
| 美术类 | 216801 | 桂林学院(01) | 3 | 3 | 202.1 | 000 |
| 美术类 | 217101 | 桂林信息科技学院(01) | 12 | 12 | 197.5 | 000 |
| 美术类 | 217601 | 广西外国语学院(01) | 6 | 6 | 197.8 | 000 |
| 美术类 | 221101 | 海南大学(01) | 16 | 16 | 215.7 | 000 |
| 美术类 | 221202 | 海南热带海洋学院(02) | 12 | 12 | 204.5 | 000 |
| 美术类 | 221303 | 海南师范大学(03) | 22 | 22 | 213 | 000 |
| 美术类 | 221380 | 海南师范大学(80) | 5 | 5 | 189.4 | 000 |
| 美术类 | 221601 | 海口经济学院(01) | 54 | 15 | 182 | 000 |
| 美术类 | 222101 | 琼台师范学院(01) | 41 | 41 | 203.6 | 000 |
| 美术类 | 222401 | 三亚学院(01) | 44 | 44 | 188.4 | 000 |
| 美术类 | 222602 | 海南科技职业大学(02) | 88 | 63 | 182 | 000 |
| 美术类 | 223612 | 西南大学(12) | 7 | 7 | 224.8 | 000 |
| 美术类 | 223613 | 西南大学(13) | 2 | 2 | 226.8 | 000 |
| 美术类 | 223801 | 重庆文理学院(01) | 7 | 7 | 205.2 | 000 |
| 美术类 | 223901 | 重庆三峡学院(01) | 4 | 4 | 207.1 | 000 |
| 美术类 | 226501 | 重庆对外经贸学院(01) | 5 | 5 | 201.8 | 000 |
| 美术类 | 229101 | 重庆第二师范学院(01) | 10 | 10 | 204.9 | 000 |
| 美术类 | 231801 | 四川师范大学(01) | 6 | 6 | 216.2 | 000 |
| 美术类 | 232101 | 内江师范学院(01) | 2 | 2 | 205.8 | 000 |
| 美术类 | 232301 | 四川文理学院(01) | 4 | 4 | 205.2 | 000 |
| 美术类 | 232901 | 西南民族大学(01) | 14 | 14 | 213.6 | 000 |
| 美术类 | 234101 | 成都东软学院(01) | 2 | 2 | 201.6 | 000 |
| 美术类 | 237101 | 四川工商学院(01) | 14 | 14 | 200.8 | 000 |
| 美术类 | 237901 | 成都锦城学院(01) | 4 | 4 | 201.6 | 000 |
| 美术类 | 238601 | 四川大学锦江学院(01) | 4 | 4 | 202.2 | 000 |
| 美术类 | 238701 | 四川文化艺术学院(01) | 2 | 4 | 201.4 | 000 |
| 美术类 | 247301 | 贵阳信息科技学院(01) | 3 | 3 | 201 | 000 |
| 美术类 | 253401 | 昆明学院(01) | 4 | 4 | 206.1 | 000 |
| 美术类 | 253501 | 文山学院(01) | 5 | 5 | 203.6 | 000 |
| 美术类 | 255101 | 云南大学滇池学院(01) | 15 | 15 | 193 | 000 |
| 美术类 | 255201 | 丽江文化旅游学院(01) | 70 | 100 | 186.1 | 000 |
| 美术类 | 261401 | 西安建筑科技大学(01) | 2 | 2 | 200.1 | 000 |
| 美术类 | 261501 | 西安科技大学(01) | 2 | 2 | 211.7 | 000 |
| 美术类 | 262701 | 渭南师范学院(01) | 2 | 2 | 209 | 000 |
| 美术类 | 262780 | 渭南师范学院(80) | 3 | 3 | 202.6 | 000 |
| 美术类 | 264701 | 西安外事学院(01) | 3 | 3 | 190.4 | 000 |
| 美术类 | 264801 | 西安翻译学院(01) | 15 | 15 | 193.8 | 000 |
| 美术类 | 264901 | 西京学院(01) | 35 | 45 | 189.5 | 000 |
| 美术类 | 265501 | 西安思源学院(01) | 7 | 10 | 198.8 | 000 |
| “科目要求”栏内4、5、6、7、8、9和000均为招生院校专业组对考生选考科目要求的代码。“4”表示物理科目,“5”表示化学科目,“6”表示生物科目,“7”表示思想政治科目,“8”表示历史科目,“9”表示地理科目,“000”表示不提选考科目。“科目要求”栏中二位数字若为“45”(从小到大排序),则表示物理、化学(2门科目考生选考其中一门即可报考);若为“54”(从大到小排序),则表示物理、化学(2门科目考生均须选考方可报考),以此类推。 | ||||||

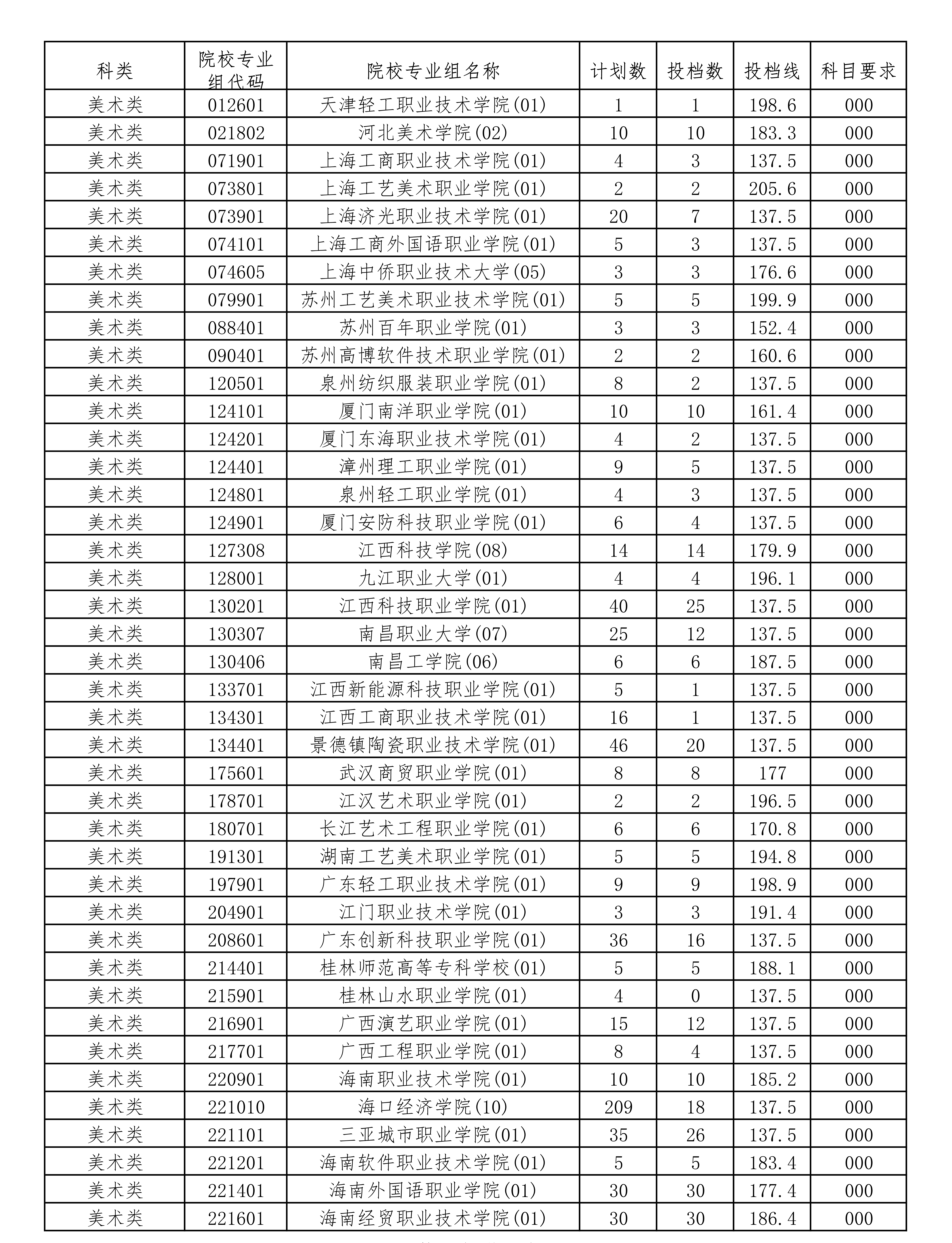
| 2023年海南省普通高校招生录取高职(专科)提前批平行志愿院校专业组投档分数线-美术类 | ||||||
| 科类名称 | 院校专业组代码 | 院校专业组名称 | 计划数 | 投档数 | 投档线 | 科目要求 |
| 美术类 | 012601 | 天津轻工职业技术学院(01) | 1 | 1 | 198.5 | 000 |
| 美术类 | 021802 | 河北美术学院(02) | 10 | 10 | 178.6 | 000 |
| 美术类 | 073901 | 上海工艺美术职业学院(01) | 2 | 2 | 203.7 | 000 |
| 美术类 | 074001 | 上海济光职业技术学院(01) | 10 | 10 | 169.6 | 000 |
| 美术类 | 074201 | 上海工商外国语职业学院(01) | 2 | 2 | 189.3 | 000 |
| 美术类 | 074704 | 上海中侨职业技术大学(04) | 2 | 2 | 181.3 | 000 |
| 美术类 | 080401 | 苏州工艺美术职业技术学院(01) | 5 | 5 | 205.2 | 000 |
| 美术类 | 088901 | 苏州百年职业学院(01) | 6 | 4 | 137.5 | 000 |
| 美术类 | 090901 | 苏州高博软件技术职业学院(01) | 5 | 5 | 179.8 | 000 |
| 美术类 | 121001 | 泉州纺织服装职业学院(01) | 11 | 11 | 170.3 | 000 |
| 美术类 | 124601 | 厦门南洋职业学院(01) | 15 | 15 | 176.5 | 000 |
| 美术类 | 124701 | 厦门东海职业技术学院(01) | 5 | 5 | 173.7 | 000 |
| 美术类 | 124901 | 漳州理工职业学院(01) | 7 | 7 | 187.1 | 000 |
| 美术类 | 125401 | 厦门安防科技职业学院(01) | 7 | 7 | 163.1 | 000 |
| 美术类 | 127808 | 江西科技学院(08) | 13 | 13 | 185.8 | 000 |
| 美术类 | 128501 | 九江职业大学(01) | 4 | 4 | 195.3 | 000 |
| 美术类 | 130701 | 江西科技职业学院(01) | 6 | 5 | 137.5 | 000 |
| 美术类 | 130807 | 南昌职业大学(07) | 12 | 12 | 180.8 | 000 |
| 美术类 | 130906 | 南昌工学院(06) | 8 | 8 | 186.8 | 000 |
| 美术类 | 134801 | 江西工商职业技术学院(01) | 8 | 8 | 171.6 | 000 |
| 美术类 | 134901 | 景德镇陶瓷职业技术学院(01) | 65 | 22 | 137.5 | 000 |
| 美术类 | 176101 | 武汉商贸职业学院(01) | 14 | 14 | 183.5 | 000 |
| 美术类 | 179201 | 江汉艺术职业学院(01) | 3 | 3 | 196.1 | 000 |
| 美术类 | 191801 | 湖南工艺美术职业学院(01) | 5 | 5 | 195.4 | 000 |
| 美术类 | 204201 | 广东亚视演艺职业学院(01) | 7 | 7 | 190.7 | 000 |
| 美术类 | 205401 | 江门职业技术学院(01) | 2 | 2 | 199.3 | 000 |
| 美术类 | 215001 | 桂林师范高等专科学校(01) | 5 | 5 | 190.8 | 000 |
| 美术类 | 217501 | 广西演艺职业学院(01) | 15 | 15 | 171.1 | 000 |
| 美术类 | 221501 | 海南职业技术学院(01) | 9 | 9 | 190.3 | 000 |
| 美术类 | 221612 | 海口经济学院(12) | 410 | 39 | 137.5 | 000 |
| 美术类 | 221701 | 三亚城市职业学院(01) | 45 | 45 | 144.4 | 000 |
| 美术类 | 221801 | 海南软件职业技术学院(01) | 5 | 5 | 191.1 | 000 |
| 美术类 | 222001 | 海南外国语职业学院(01) | 30 | 30 | 180.6 | 000 |
| 美术类 | 222201 | 海南经贸职业技术学院(01) | 26 | 26 | 191.5 | 000 |
| 美术类 | 222301 | 海南工商职业学院(01) | 70 | 70 | 157.6 | 000 |
| 美术类 | 222502 | 三亚航空旅游职业学院(02) | 36 | 36 | 159.5 | 000 |
| 美术类 | 222610 | 海南科技职业大学(10) | 50 | 47 | 137.5 | 000 |
| 美术类 | 222701 | 三亚理工职业学院(01) | 70 | 40 | 137.5 | 000 |
| 美术类 | 225701 | 重庆信息技术职业学院(01) | 40 | 32 | 137.5 | 000 |
| 美术类 | 226101 | 重庆工程职业技术学院(01) | 8 | 8 | 195.3 | 000 |
| 美术类 | 227101 | 重庆工商职业学院(01) | 5 | 5 | 193.1 | 000 |
| 美术类 | 228701 | 重庆艺术工程职业学院(01) | 6 | 6 | 184.4 | 000 |
| 美术类 | 235701 | 四川国际标榜职业学院(01) | 10 | 10 | 158.1 | 000 |
| 美术类 | 265507 | 西安思源学院(07) | 7 | 7 | 181.1 | 000 |
| “科目要求”栏内4、5、6、7、8、9和000均为招生院校专业组对考生选考科目要求的代码。“4”表示物理科目,“5”表示化学科目,“6”表示生物科目,“7”表示思想政治科目,“8”表示历史科目,“9”表示地理科目,“000”表示不提选考科目。“科目要求”栏中二位数字若为“45”(从小到大排序),则表示物理、化学(2门科目考生选考其中一门即可报考);若为“54”(从大到小排序),则表示物理、化学(2门科目考生均须选考方可报考),以此类推。 | ||||||
| 2023年海南省普通高校招生录取高职(专科)提前批院校专业组征集志愿平行投档分数线-美术类 | ||||||
| 科类名称 | 院校专业组代 码 | 院校专业组名称 | 计划数 | 投档数 | 投档线 | 科目要求 |
| 美术类 | 021802 | 河北美术学院(02) | 3 | 3 | 177.4 | 000 |
| 美术类 | 088901 | 苏州百年职业学院(01) | 2 | 0 | 137.5 | 000 |
| 美术类 | 124901 | 漳州理工职业学院(01) | 2 | 2 | 192.5 | 000 |
| 美术类 | 130701 | 江西科技职业学院(01) | 1 | 1 | 158.7 | 000 |
| 美术类 | 134901 | 景德镇陶瓷职业技术学院(01) | 43 | 12 | 137.5 | 000 |
| 美术类 | 217501 | 广西演艺职业学院(01) | 1 | 1 | 181.3 | 000 |
| 美术类 | 221612 | 海口经济学院(12) | 374 | 5 | 137.5 | 000 |
| 美术类 | 222610 | 海南科技职业大学(10) | 3 | 3 | 148.3 | 000 |
| 美术类 | 222701 | 三亚理工职业学院(01) | 30 | 2 | 137.5 | 000 |
| 美术类 | 225701 | 重庆信息技术职业学院(01) | 8 | 6 | 137.5 | 000 |
| 美术类 | 226101 | 重庆工程职业技术学院(01) | 1 | 1 | 196.3 | 000 |
| “科目要求”栏内4、5、6、7、8、9和000均为招生院校专业组对考生选考科目要求的代码。“4”表示物理科目,“5”表示化学科目,“6”表示生物科目,“7”表示思想政治科目,“8”表示历史科目,“9”表示地理科目,“000”表示不提选考科目。“科目要求”栏中二位数字若为“45”(从小到大排序),则表示物理、化学(2门科目考生选考其中一门即可报考);若为“54”(从大到小排序),则表示物理、化学(2门科目考生均须选考方可报考),以此类推。 | ||||||
三、2022年海南省普通高校招生录取美术类平行志愿院校专业组投档分数线



点击链接查看详情:
高职(专科)提前批美术类平行志愿院校专业组投档分数线


点击链接查看详情:
标签:海南美术高考











