2022年广东专科提前批投档分数线(历史)-ag亚洲游戏国际平台
更新:2025-5-20 14:48:12我要纠错

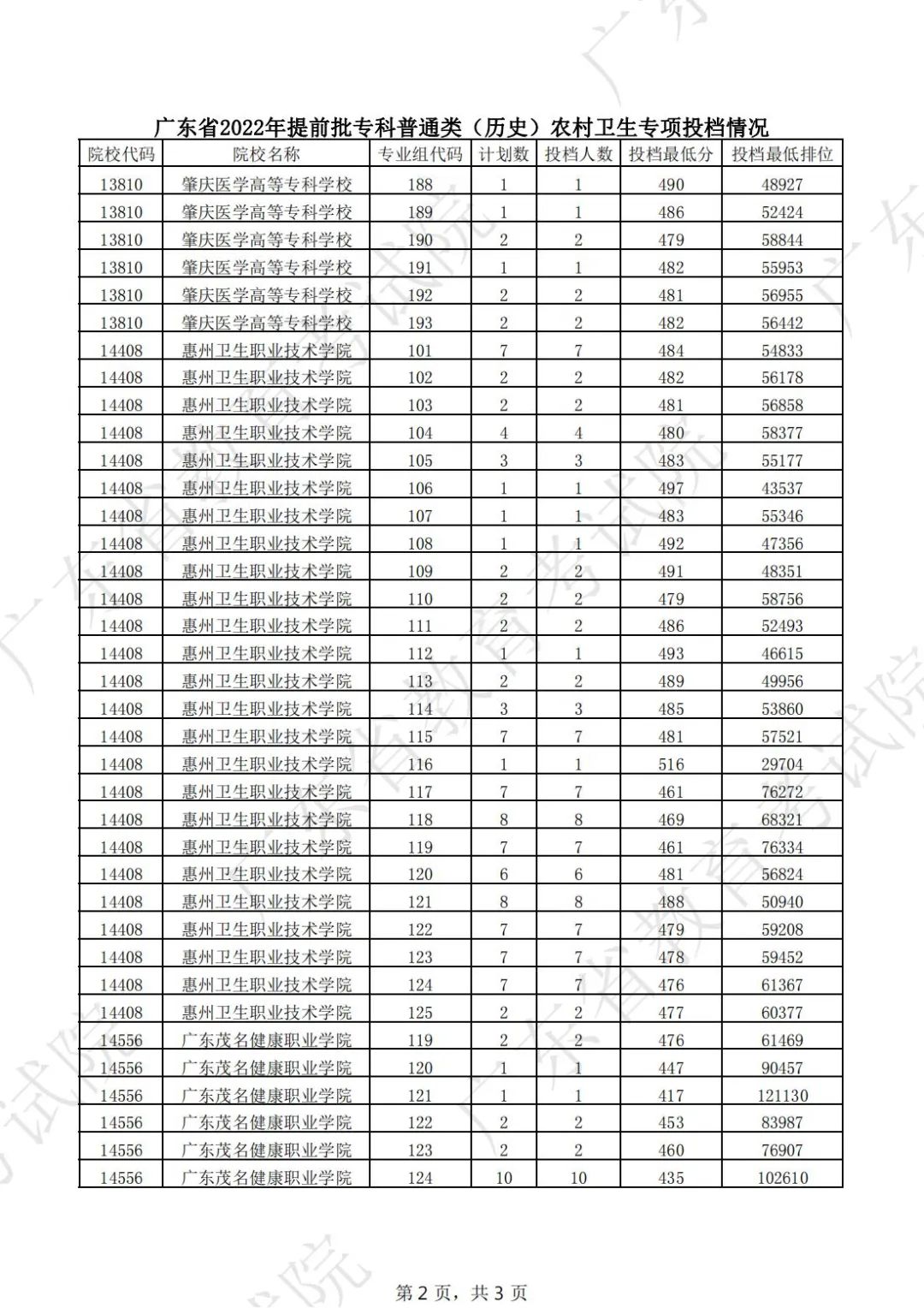
2022年广东专科提前批投档分数线已经公布,以下是历史投档情况,供大家参考。
投档分数线是全国各大学在本省各批次录取过程中考生志愿投档时的最低分数线,如果生源充足,不用征集补录,那么投档分数线和最终录取分数线基本一致,如果生源不足,需要征集补录,那么投档线和最后录取最低分可能就有一定相差。
广东省2022年提前批专科普通类(历史)投档情况

广东省2022年提前批专科普通类(历史)农村卫生专项投档情况



标签:







