站内搜索 菜单
ag亚洲游戏国际平台>广东高考>艺术高考>投档分数

2023-ag亚洲游戏国际平台

更新:2025-5-21 14:35:02我要纠错

2023-2024年广东音乐类投档分数线(本科提前批、本科批、专科批)

本文为大家整理的是2023-2024年广东音乐类投档分数线,包含本科提前批、本科批、专科批等,以下是详细内容,希望对大家有所帮助。

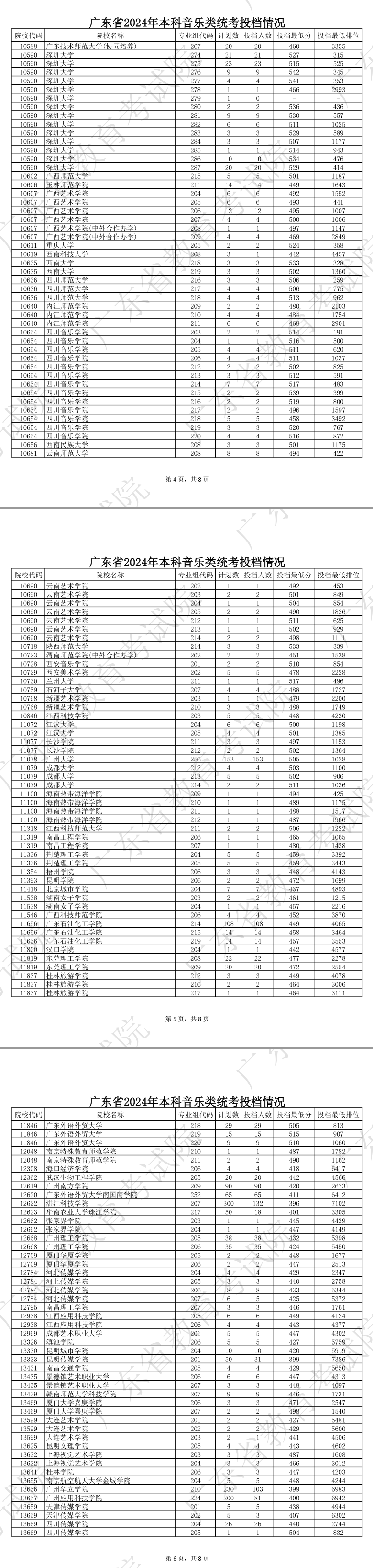
一、2024年广东音乐类投档分数线【本科提前批、本科批、专科批】

2023-2024年广东音乐类投档分数线(本科提前批、本科批、专科批)

2023-2024年广东音乐类投档分数线(本科提前批、本科批、专科批)

2023-2024年广东音乐类投档分数线(本科提前批、本科批、专科批)

2023-2024年广东音乐类投档分数线(本科提前批、本科批、专科批)

2023-2024年广东音乐类投档分数线(本科提前批、本科批、专科批)

2023-2024年广东音乐类投档分数线(本科提前批、本科批、专科批)

2023-2024年广东音乐类投档分数线(本科提前批、本科批、专科批)

二、2023年广东音乐类投档分数线【本科提前批、本科批、专科批】

2023-2024年广东音乐类投档分数线(本科提前批、本科批、专科批)

2023-2024年广东音乐类投档分数线(本科提前批、本科批、专科批)

2023-2024年广东音乐类投档分数线(本科提前批、本科批、专科批)

2023-2024年广东音乐类投档分数线(本科提前批、本科批、专科批)

2023-2024年广东音乐类投档分数线(本科提前批、本科批、专科批)

2023-2024年广东音乐类投档分数线(本科提前批、本科批、专科批)

标签: 

相关推荐

热门推荐更多

网站地图