2018河北高考一分一段表(文科)-ag亚洲游戏国际平台
更新:2025-5-18 17:58:22我要纠错

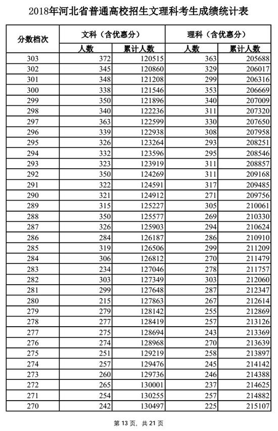
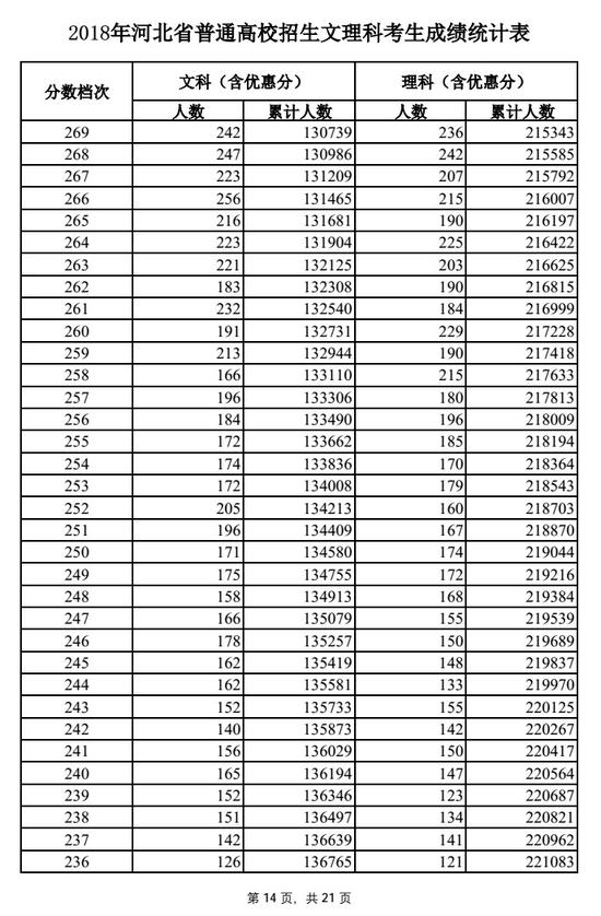
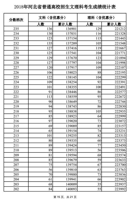
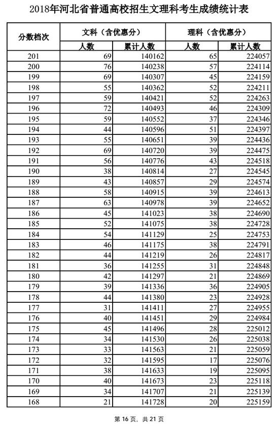
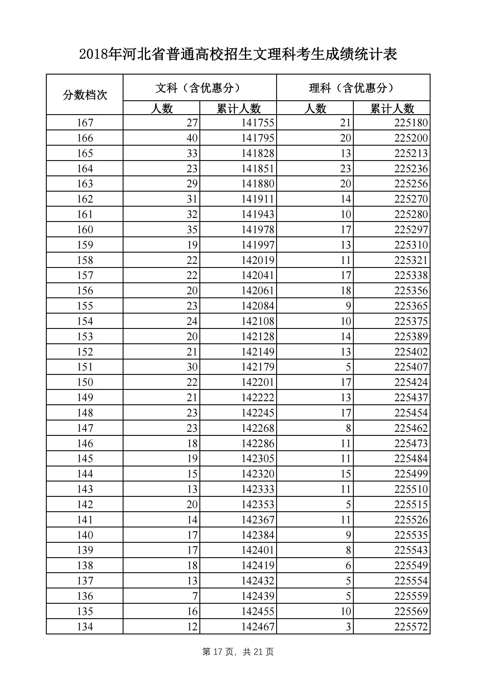
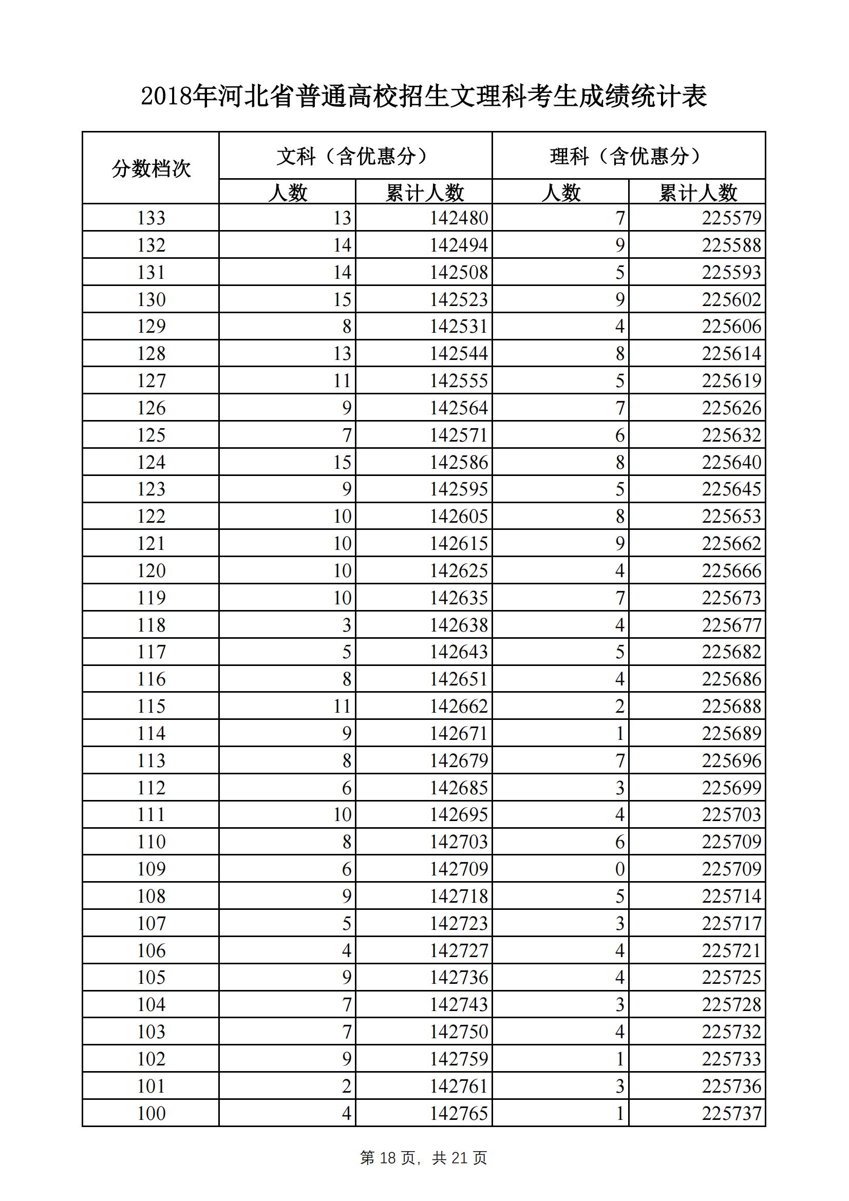
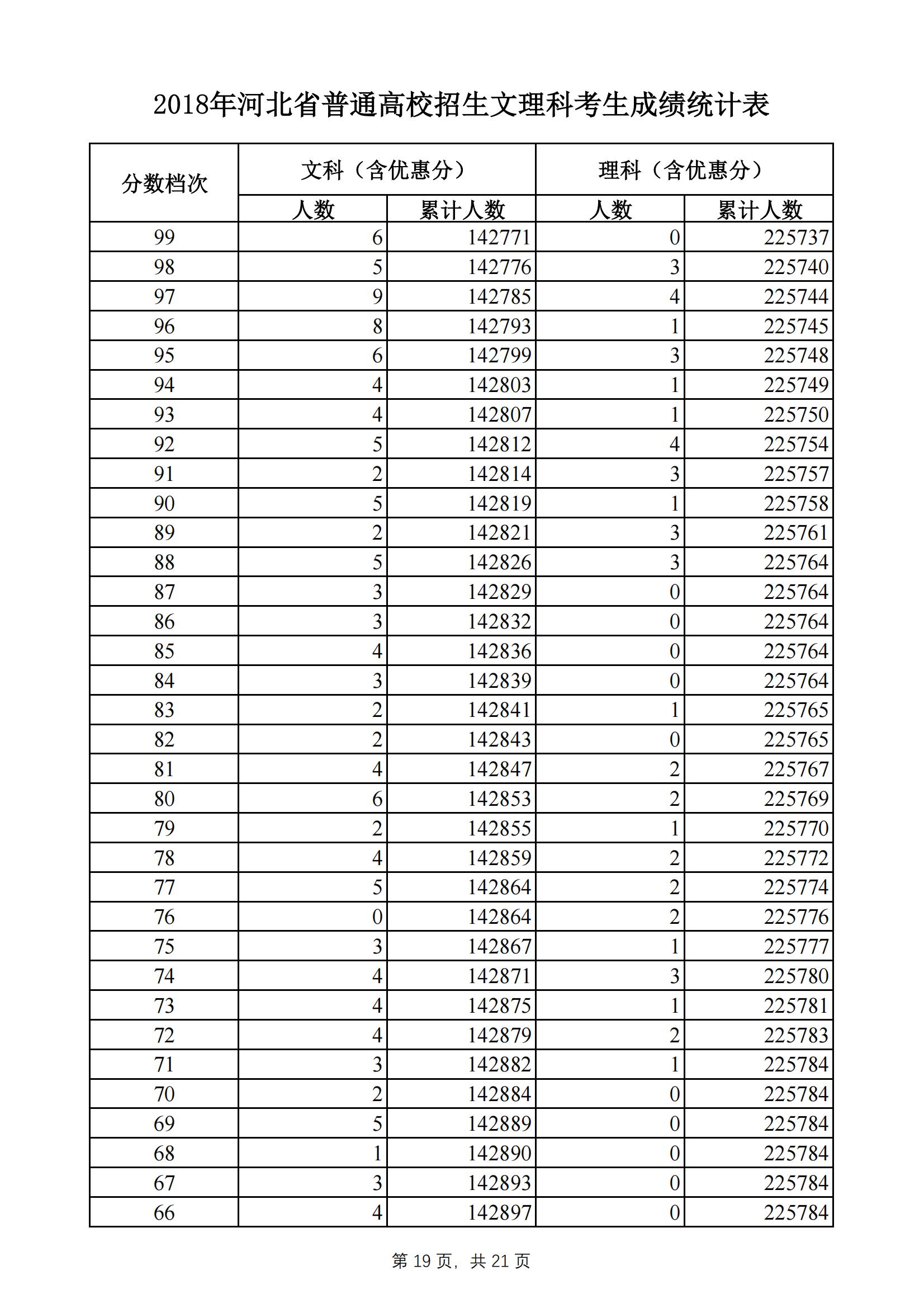
2018年河北ag亚洲游戏国际平台一分一段表已经公布,一分一段表是考生成绩统计表,通过一分一段表我们可以查看自己的高考位次排名,然后根据位次来选择自己能上的大学和专业。以下是文科一分一段表,供大家参考。





















标签:河北高考一分一段表

2018年河北ag亚洲游戏国际平台一分一段表已经公布,一分一段表是考生成绩统计表,通过一分一段表我们可以查看自己的高考位次排名,然后根据位次来选择自己能上的大学和专业。以下是文科一分一段表,供大家参考。






















2025-5-18

2025-5-19

2025-5-18

2025-5-19

2025-5-18

2025-5-19

2025-5-19

2025-5-19

2025-5-19

2025-5-18

2025-5-19

2025-5-18