2023年江西二本投档分数线(理科)-ag亚洲游戏国际平台
更新:2025-5-21 8:01:40我要纠错

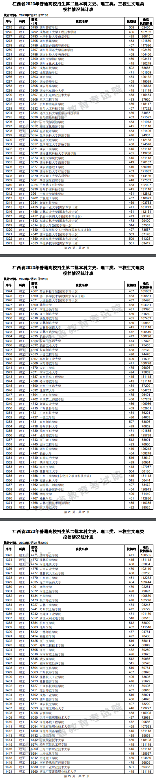
2023年江西二本投档分数线已经公布,以下是理科投档情况,供大家参考。
投档人数通常会比实际招生人数多一点点,投档了并不代表一定就会被录取,如果不服从专业调剂或者不满足专业录取条件,也会被退档,大家要及时关注自己的档案状态。








江西省2023年普通高校招生第二批本科理工类缺额院校征集志愿投档情况统计表




江西省2023年普通高校招生第二批本科理工类缺额院校征集志愿投档情况统计表(第二次征集)

标签:江西本科投档分数线









